🇳🇴 🇬🇧 🇩🇪 🇨🇿 🇫🇮

Meteor Flåin yllä 2019-09-15 19:41:00 UTC

KML-tiedosto  |  Interaktiivinen kartta

Kartta näyttää meteorin suuntahavainnot. Vaaleammat viivat näyttävät suunnat havaintoasemilta meteorin ilmestyessä, ja tummemmat viivat näyttävät, missä se viimeksi nähtiin. Sininen nuoli näyttää meteorin näkyvän lennon.

static map
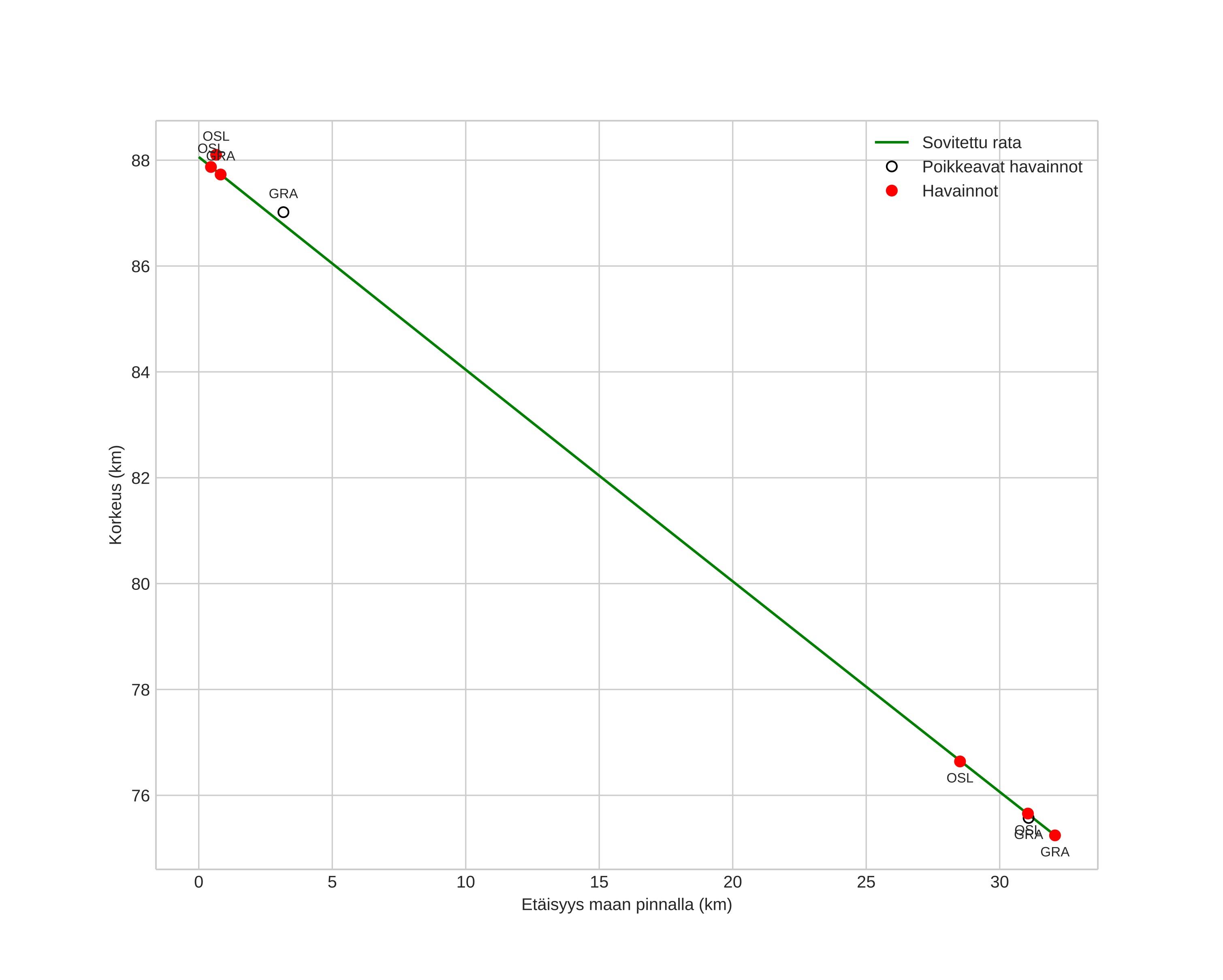
height profile
Meteorin ilmakehärata:
Alkukorkeus: 86,1 km
Loppukorkeus: 74,9 km
Alkupiste: 60,480N 9,931E
Loppupiste: 60,554N 9,367E
Suunta: 285,2°
Kallistuskulma: 19,3°
Tulonopeus: 31,1 km/s
Radiantin R,A,: 00:31 (8,0°)
Radiantin Dekl,: 7,1°
Meteoriparvi: Eteläiset tauridit
Meteoroidin rataelementit:
Perihelietäisyys: 0,273 AU
Eksentrisyys: 0,831
Inklinaatio: 4,6°
Nousevan solmun pituus: 172,4°
Perihelin argumentti: 307,3°
Keskianomalia: 339,4°
Epookki: 2019 SEP 15 19:41:00
orbit plot

Ei-interaktiivinen kuvaaja | Interaktiivinen kuvaaja

position vs time
speed and acceleration