🇳🇴 🇬🇧 🇩🇪 🇨🇿 🇫🇮

Meteor, poloha: Stavern 2019-09-17 22:11:17 UTC

Soubor KML  |  InteraktivnĂ­ mapa

Mapa zobrazuje dráhy meteoru. Světlejší čáry ukazují směry od pozorovacích stanic při objevení se meteoru a tmavší čáry, kde byl naposledy viděn. Modrá šipka značí viditelnou dráhu meteoru.

static map
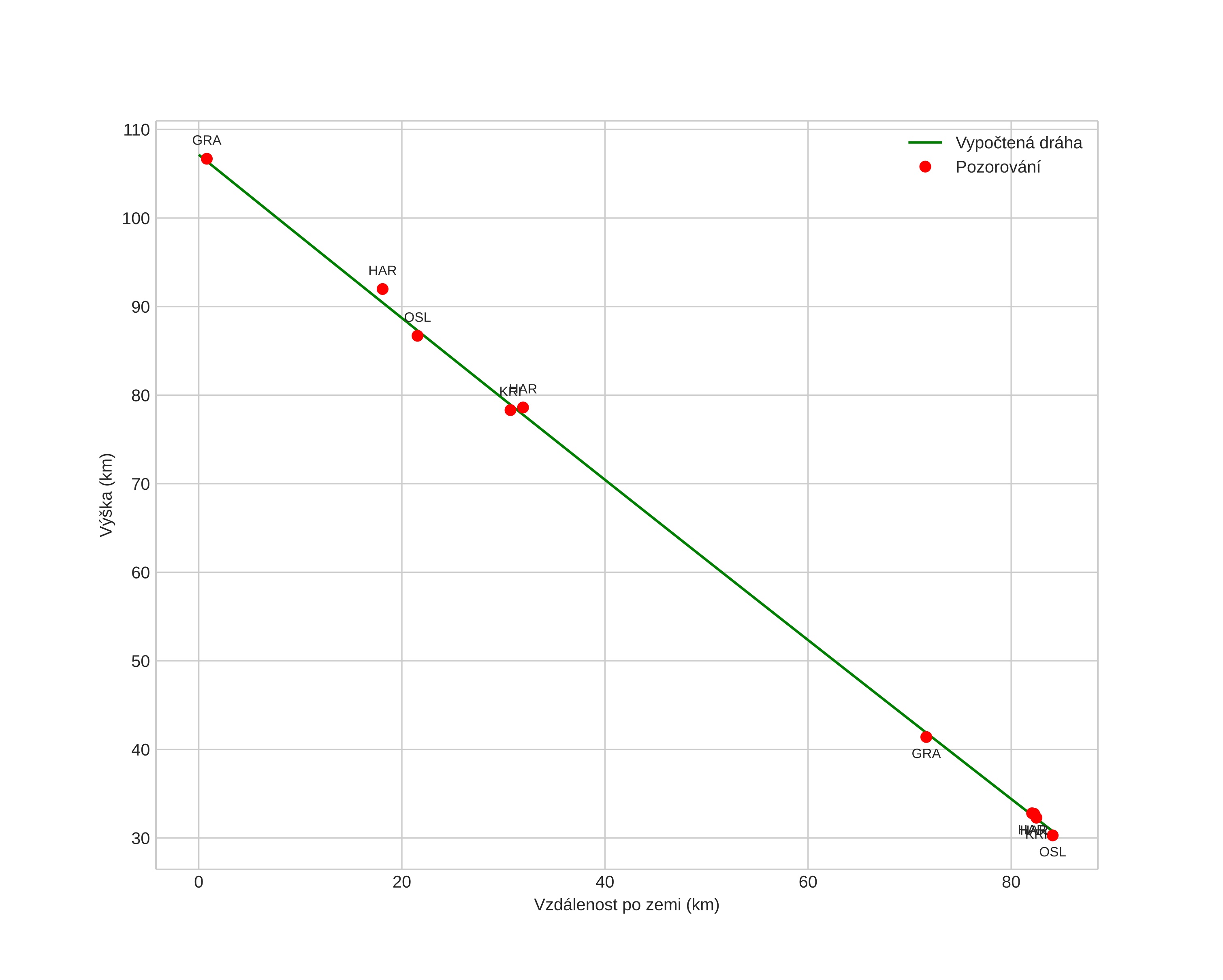
height profile
Atmosférická dráha meteoru:
Počáteční výška: 94,2 km
Konečná výška: 31,2 km
Počáteční poloha: 58,158N 10,486E
Konečná poloha: 58,792N 10,176E
Směr: 345,8°
Sklon: 40,9°
VstupnĂ­ rychlost: 20,3 km/s
Rektascenze radiantu: 23:21 (350,3°)
Deklinace radiantu: 5,0°
MeteorickĂ˝ roj: sporadickĂ˝
Elementy dráhy meteoroidu:
Vzdálenost v periheliu: 0,652 AU
Excentricita: 0,587
Sklon dráhy: 4,7°
Délka vzestupného uzlu: 174,5°
Argument perihelia: 267,2°
Střední anomálie: 334,6°
Epocha: 2019 SEP 17 22:11:17
orbit plot

NeinteraktivnĂ­ graf | InteraktivnĂ­ graf

position vs time
speed and acceleration