🇳🇴 🇬🇧 🇩🇪 🇨🇿 🇫🇮

Meteor Stavernin yllä 2019-09-17 22:11:17 UTC

KML-tiedosto  |  Interaktiivinen kartta

Kartta näyttää meteorin suuntahavainnot. Vaaleammat viivat näyttävät suunnat havaintoasemilta meteorin ilmestyessä, ja tummemmat viivat näyttävät, missä se viimeksi nähtiin. Sininen nuoli näyttää meteorin näkyvän lennon.

static map
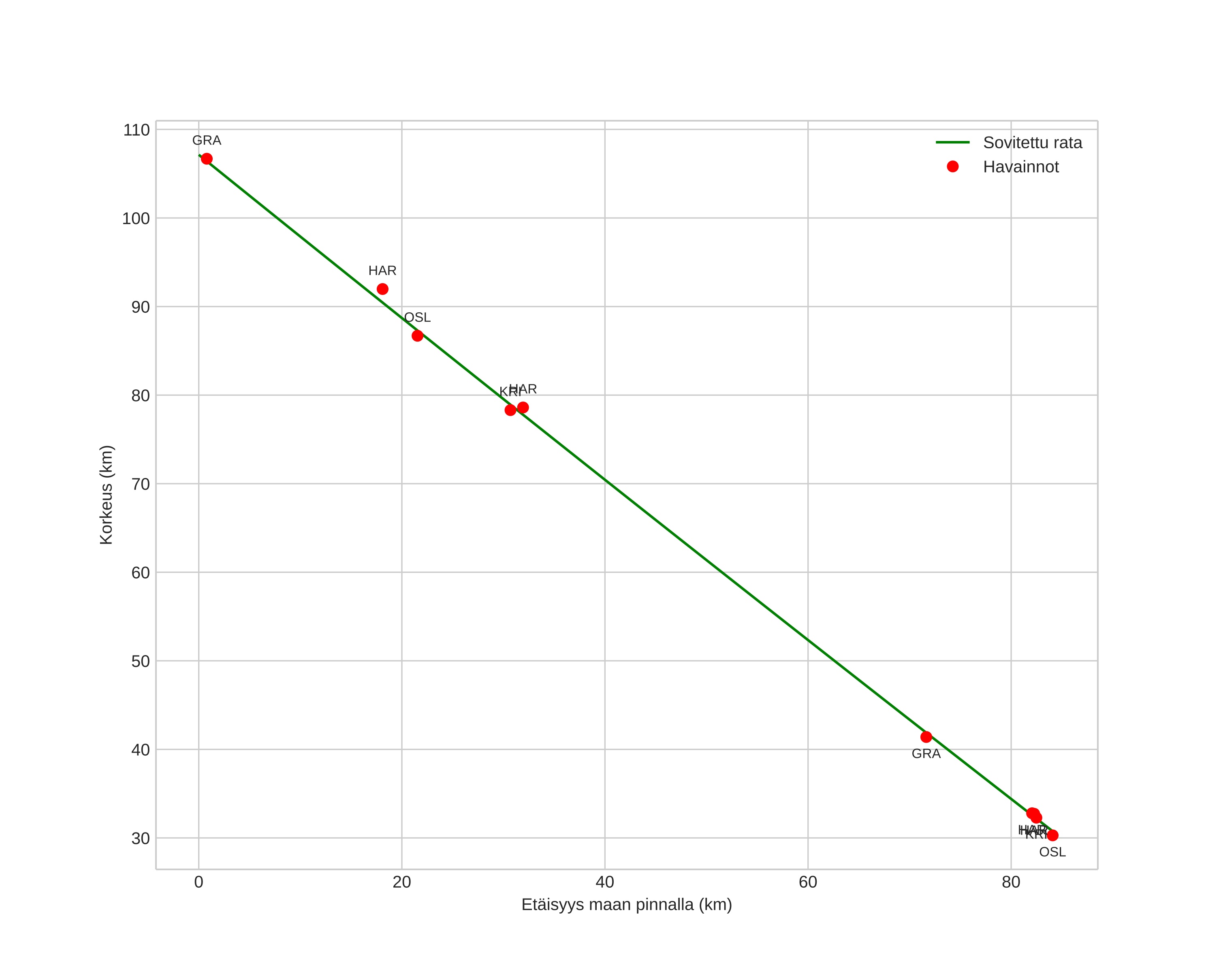
height profile
Meteorin ilmakehärata:
Alkukorkeus: 94,2 km
Loppukorkeus: 31,2 km
Alkupiste: 58,158N 10,486E
Loppupiste: 58,792N 10,176E
Suunta: 345,8°
Kallistuskulma: 40,9°
Tulonopeus: 20,3 km/s
Radiantin R,A,: 23:21 (350,3°)
Radiantin Dekl,: 5,0°
Meteoriparvi: Sporadinen
Meteoroidin rataelementit:
Perihelietäisyys: 0,652 AU
Eksentrisyys: 0,587
Inklinaatio: 4,7°
Nousevan solmun pituus: 174,5°
Perihelin argumentti: 267,2°
Keskianomalia: 334,6°
Epookki: 2019 SEP 17 22:11:17
orbit plot

Ei-interaktiivinen kuvaaja | Interaktiivinen kuvaaja

position vs time
speed and acceleration