🇳🇴 🇬🇧 🇩🇪 🇨🇿 🇫🇮

Meteor, poloha: Sollebrunn 2019-09-18 22:15:57 UTC

Soubor KML  |  InteraktivnĂ­ mapa

Mapa zobrazuje dráhy meteoru. Světlejší čáry ukazují směry od pozorovacích stanic při objevení se meteoru a tmavší čáry, kde byl naposledy viděn. Modrá šipka značí viditelnou dráhu meteoru.

static map
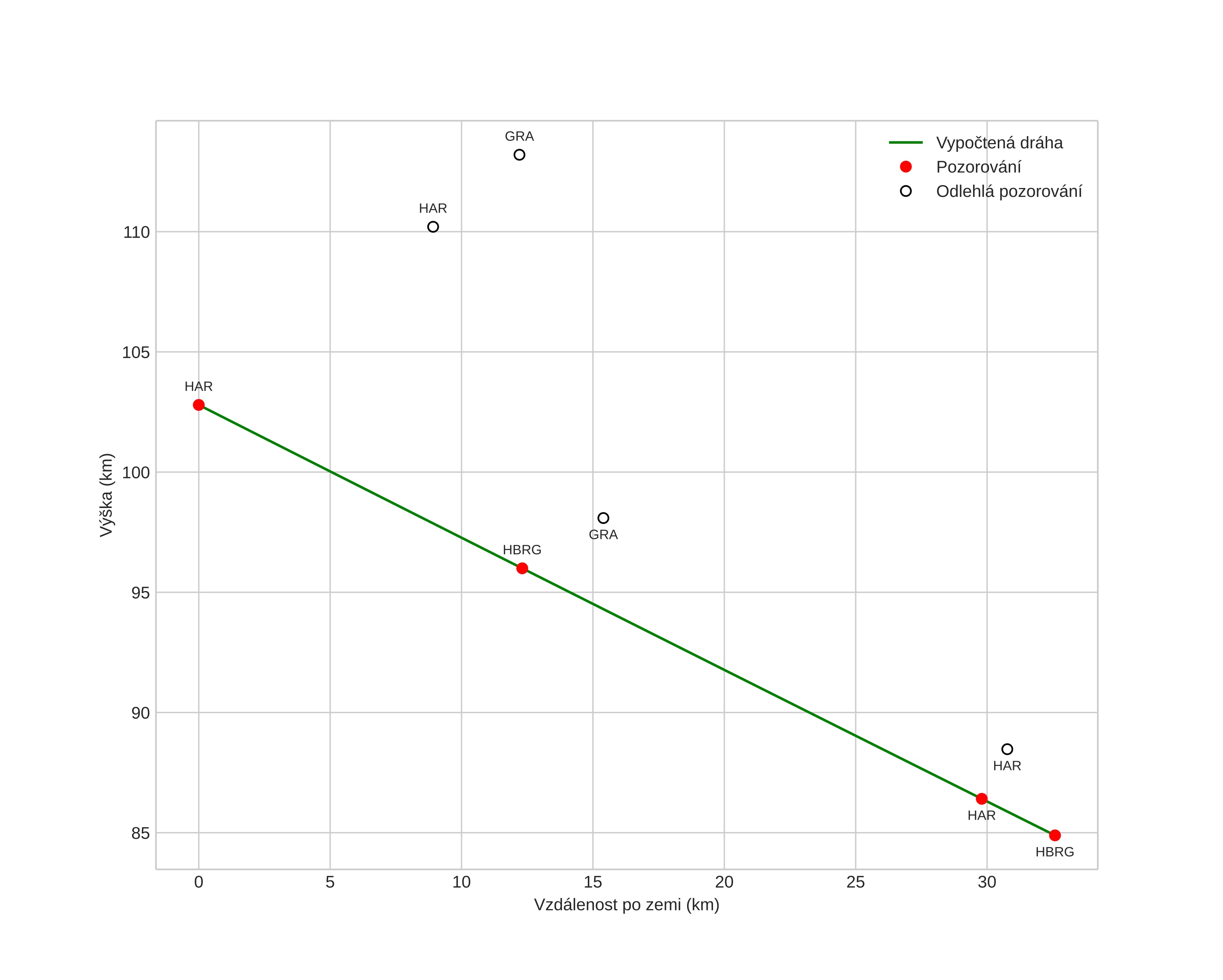
height profile
Atmosférická dráha meteoru:
Počáteční výška: 106,6 km
Konečná výška: 86,2 km
Počáteční poloha: 58,419N 13,032E
Konečná poloha: 58,158N 12,601E
Směr: 221,2°
Sklon: 28,0°
VstupnĂ­ rychlost: 74,0 km/s
Rektascenze radiantu: 06:53 (103,4°)
Deklinace radiantu: 48,2°
MeteorickĂ˝ roj: sporadickĂ˝
Elementy dráhy meteoroidu:
Vzdálenost v periheliu: 0,920 AU
Excentricita: 1,663
Sklon dráhy: 137,8°
Délka vzestupného uzlu: 175,4°
Argument perihelia: 149,8°
Střední anomálie: 10,6°
Epocha: 2019 SEP 18 22:15:57
orbit plot

NeinteraktivnĂ­ graf | InteraktivnĂ­ graf

position vs time
speed and acceleration