🇳🇴 🇬🇧 🇩🇪 🇨🇿 🇫🇮

Meteor Sollebrunnin yllä 2019-09-18 22:15:57 UTC

KML-tiedosto  |  Interaktiivinen kartta

Kartta näyttää meteorin suuntahavainnot. Vaaleammat viivat näyttävät suunnat havaintoasemilta meteorin ilmestyessä, ja tummemmat viivat näyttävät, missä se viimeksi nähtiin. Sininen nuoli näyttää meteorin näkyvän lennon.

static map
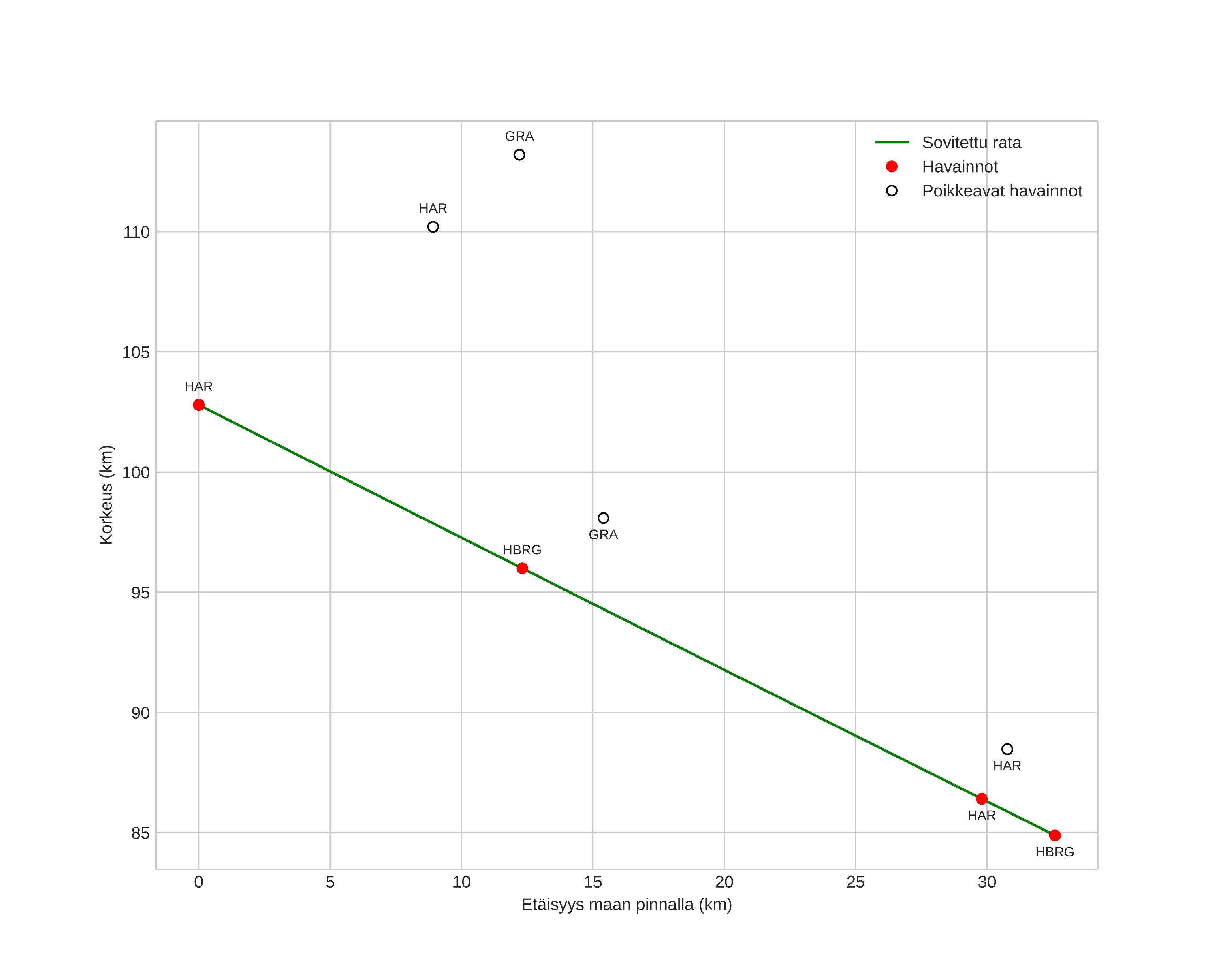
height profile
Meteorin ilmakehärata:
Alkukorkeus: 106,6 km
Loppukorkeus: 86,2 km
Alkupiste: 58,419N 13,032E
Loppupiste: 58,158N 12,601E
Suunta: 221,2°
Kallistuskulma: 28,0°
Tulonopeus: 74,0 km/s
Radiantin R,A,: 06:53 (103,4°)
Radiantin Dekl,: 48,2°
Meteoriparvi: Sporadinen
Meteoroidin rataelementit:
Perihelietäisyys: 0,920 AU
Eksentrisyys: 1,663
Inklinaatio: 137,8°
Nousevan solmun pituus: 175,4°
Perihelin argumentti: 149,8°
Keskianomalia: 10,6°
Epookki: 2019 SEP 18 22:15:57
orbit plot

Ei-interaktiivinen kuvaaja | Interaktiivinen kuvaaja

position vs time
speed and acceleration