🇳🇴 🇬🇧 🇩🇪 🇨🇿 🇫🇮

Meteor, poloha: Kiruna 2019-09-22 00:03:50 UTC

Soubor KML  |  InteraktivnĂ­ mapa

Mapa zobrazuje dráhy meteoru. Světlejší čáry ukazují směry od pozorovacích stanic při objevení se meteoru a tmavší čáry, kde byl naposledy viděn. Modrá šipka značí viditelnou dráhu meteoru.

static map
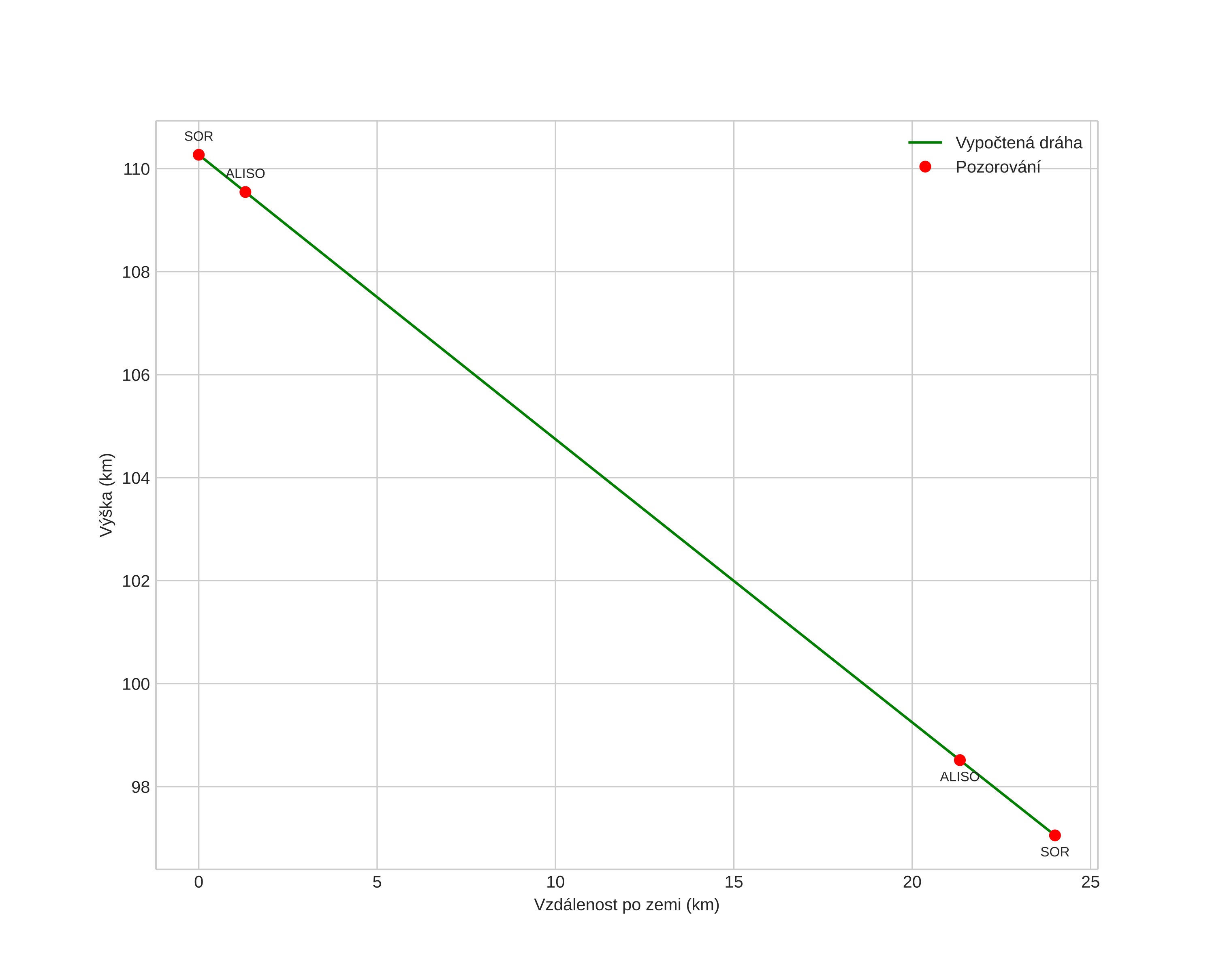
height profile
Atmosférická dráha meteoru:
Počáteční výška: 119,3 km
Konečná výška: 97,3 km
Počáteční poloha: 67,918N 21,343E
Konečná poloha: 68,021N 20,432E
Směr: 287,2°
Sklon: 29,0°
VstupnĂ­ rychlost: 66,2 km/s
Rektascenze radiantu: 05:43 (85,8°)
Deklinace radiantu: 20,2°
MeteorickĂ˝ roj: sporadickĂ˝
Elementy dráhy meteoroidu:
Vzdálenost v periheliu: 0,991 AU
Excentricita: 0,444
Sklon dráhy: 174,1°
Délka vzestupného uzlu: 358,4°
Argument perihelia: 16,8°
Střední anomálie: 354,1°
Epocha: 2019 SEP 22 00:03:50
orbit plot

NeinteraktivnĂ­ graf | InteraktivnĂ­ graf

position vs time
speed and acceleration