🇳🇴 🇬🇧 🇩🇪 🇨🇿 🇫🇮

Meteor Kirunan yllä 2019-09-22 00:03:50 UTC

KML-tiedosto  |  Interaktiivinen kartta

Kartta näyttää meteorin suuntahavainnot. Vaaleammat viivat näyttävät suunnat havaintoasemilta meteorin ilmestyessä, ja tummemmat viivat näyttävät, missä se viimeksi nähtiin. Sininen nuoli näyttää meteorin näkyvän lennon.

static map
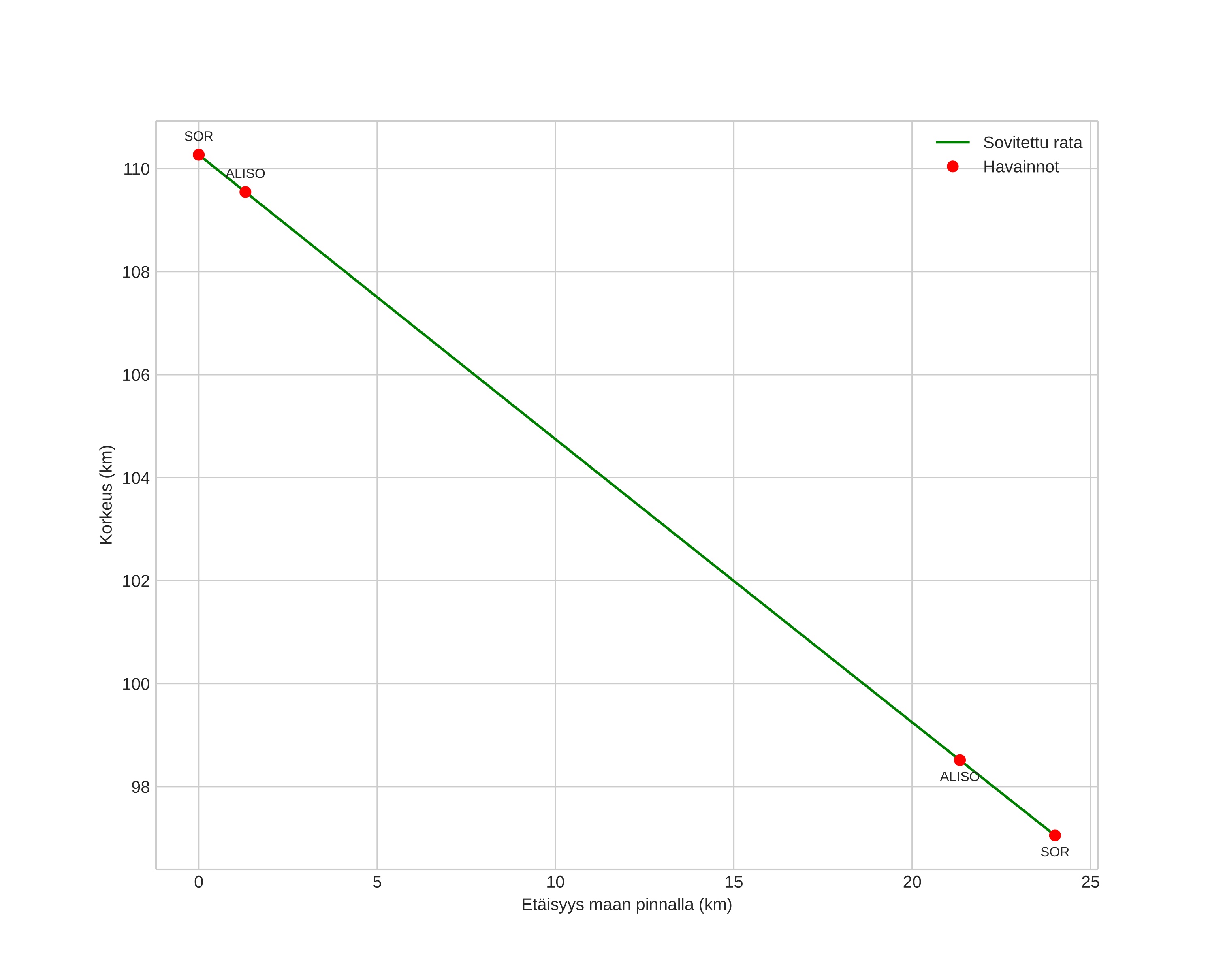
height profile
Meteorin ilmakehärata:
Alkukorkeus: 119,3 km
Loppukorkeus: 97,3 km
Alkupiste: 67,918N 21,343E
Loppupiste: 68,021N 20,432E
Suunta: 287,2°
Kallistuskulma: 29,0°
Tulonopeus: 66,2 km/s
Radiantin R,A,: 05:43 (85,8°)
Radiantin Dekl,: 20,2°
Meteoriparvi: Sporadinen
Meteoroidin rataelementit:
Perihelietäisyys: 0,991 AU
Eksentrisyys: 0,444
Inklinaatio: 174,1°
Nousevan solmun pituus: 358,4°
Perihelin argumentti: 16,8°
Keskianomalia: 354,1°
Epookki: 2019 SEP 22 00:03:50
orbit plot

Ei-interaktiivinen kuvaaja | Interaktiivinen kuvaaja

position vs time
speed and acceleration