🇳🇴 🇬🇧 🇩🇪 🇨🇿 🇫🇮

Meteor, poloha: Setermoen 2019-09-26 21:42:51 UTC

Soubor KML  |  InteraktivnĂ­ mapa

Mapa zobrazuje dráhy meteoru. Světlejší čáry ukazují směry od pozorovacích stanic při objevení se meteoru a tmavší čáry, kde byl naposledy viděn. Modrá šipka značí viditelnou dráhu meteoru.

static map
height profile
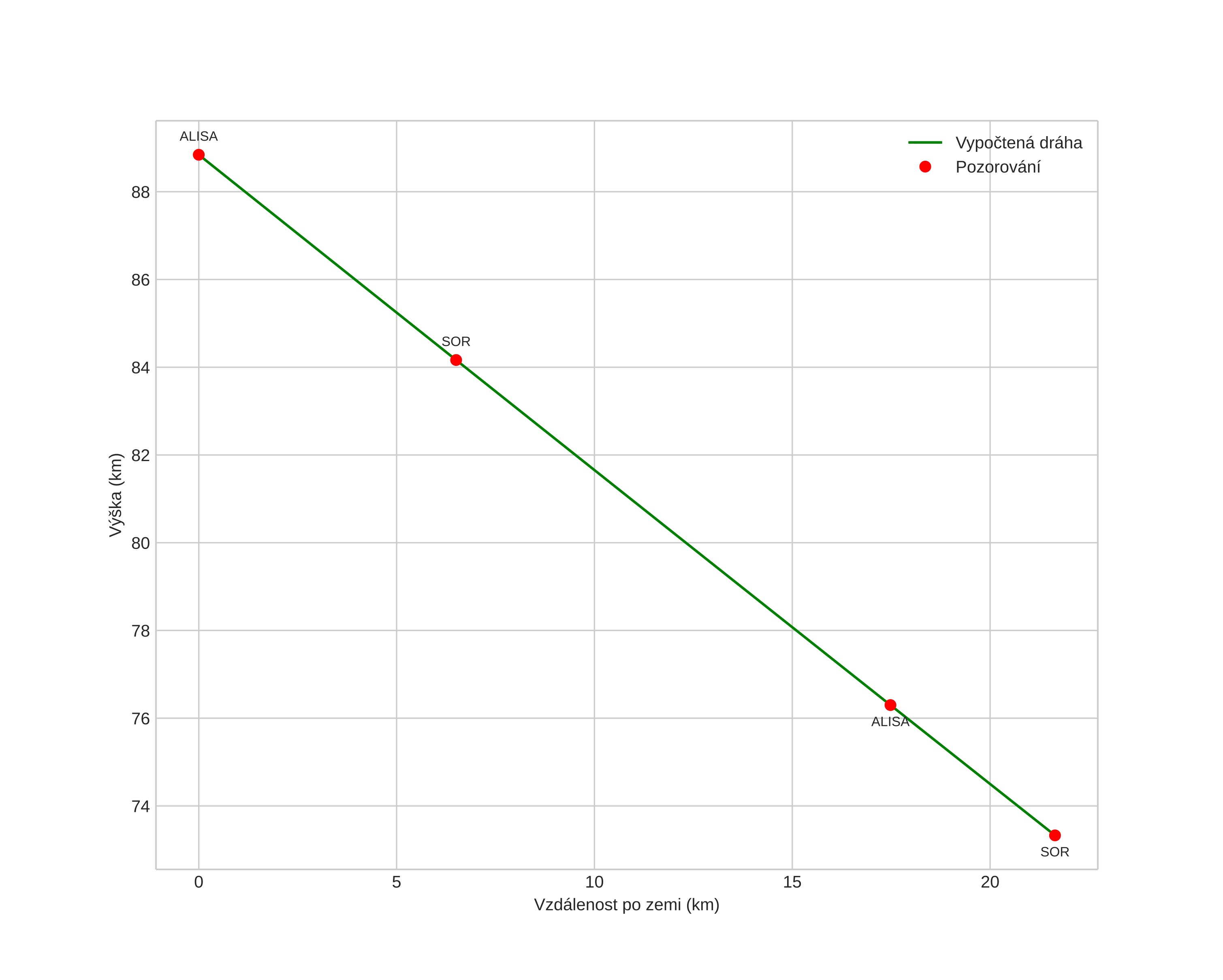
Atmosférická dráha meteoru:
Počáteční výška: 89,1 km
Konečná výška: 73,4 km
Počáteční poloha: 68,372N 18,836E
Konečná poloha: 68,275N 18,379E
Směr: 240,2°
Sklon: 35,9°
VstupnĂ­ rychlost: 52,7 km/s
Rektascenze radiantu: 06:10 (92,6°)
Deklinace radiantu: 43,5°
MeteorickĂ˝ roj: sporadickĂ˝
Elementy dráhy meteoroidu:
Vzdálenost v periheliu: 0,590 AU
Excentricita: 0,261
Sklon dráhy: 136,5°
Délka vzestupného uzlu: 183,2°
Argument perihelia: 350,3°
Střední anomálie: 196,0°
Epocha: 2019 SEP 26 21:42:51
orbit plot

NeinteraktivnĂ­ graf | InteraktivnĂ­ graf

position vs time
speed and acceleration