🇳🇴 🇬🇧 🇩🇪 🇨🇿 🇫🇮

Meteor Setermoenin yllä 2019-09-26 21:42:51 UTC

KML-tiedosto  |  Interaktiivinen kartta

Kartta näyttää meteorin suuntahavainnot. Vaaleammat viivat näyttävät suunnat havaintoasemilta meteorin ilmestyessä, ja tummemmat viivat näyttävät, missä se viimeksi nähtiin. Sininen nuoli näyttää meteorin näkyvän lennon.

static map
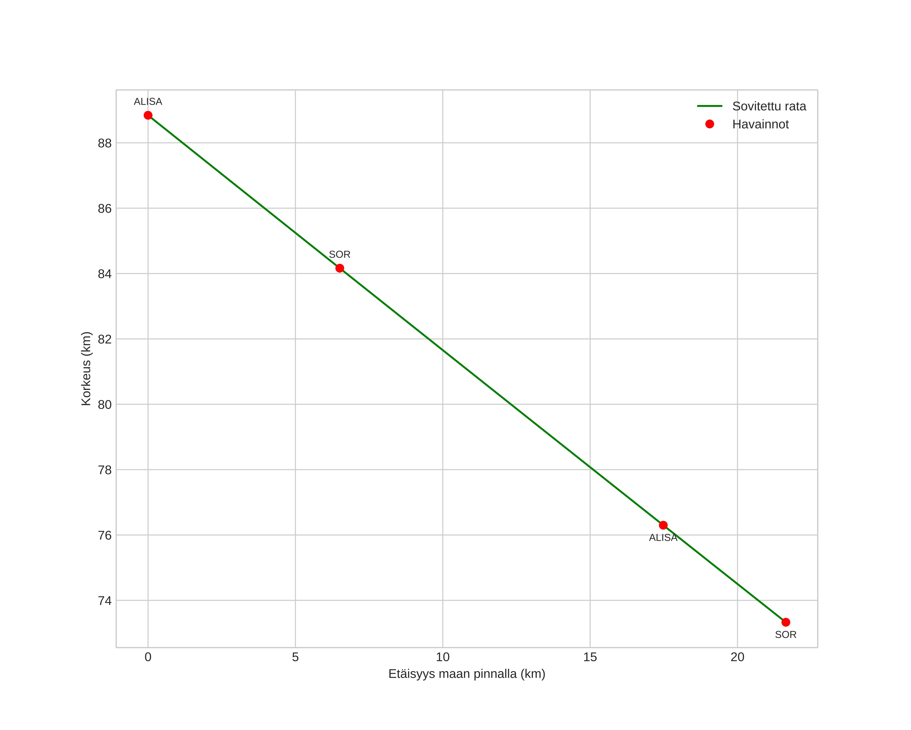
height profile
Meteorin ilmakehärata:
Alkukorkeus: 89,1 km
Loppukorkeus: 73,4 km
Alkupiste: 68,372N 18,836E
Loppupiste: 68,275N 18,379E
Suunta: 240,2°
Kallistuskulma: 35,9°
Tulonopeus: 52,7 km/s
Radiantin R,A,: 06:10 (92,6°)
Radiantin Dekl,: 43,5°
Meteoriparvi: Sporadinen
Meteoroidin rataelementit:
Perihelietäisyys: 0,590 AU
Eksentrisyys: 0,261
Inklinaatio: 136,5°
Nousevan solmun pituus: 183,2°
Perihelin argumentti: 350,3°
Keskianomalia: 196,0°
Epookki: 2019 SEP 26 21:42:51
orbit plot

Ei-interaktiivinen kuvaaja | Interaktiivinen kuvaaja

position vs time
speed and acceleration