🇳🇴 🇬🇧 🇩🇪 🇨🇿 🇫🇮

Meteor, poloha: Setermoen 2019-09-28 00:26:58 UTC

Soubor KML  |  InteraktivnĂ­ mapa

Mapa zobrazuje dráhy meteoru. Světlejší čáry ukazují směry od pozorovacích stanic při objevení se meteoru a tmavší čáry, kde byl naposledy viděn. Modrá šipka značí viditelnou dráhu meteoru.

static map
height profile
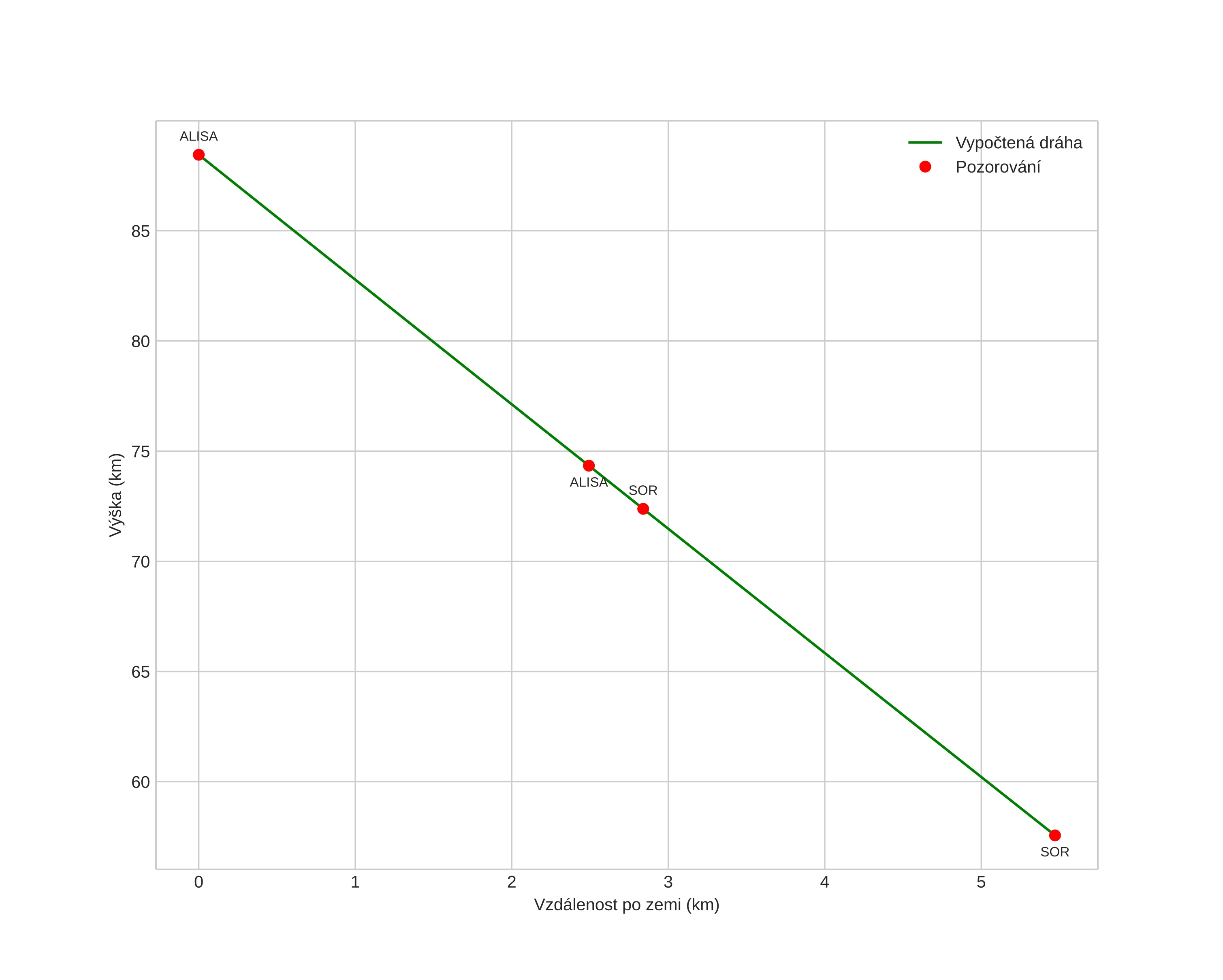
Atmosférická dráha meteoru:
Počáteční výška: 88,8 km
Konečná výška: 57,4 km
Počáteční poloha: 68,827N 18,321E
Konečná poloha: 68,777N 18,297E
Směr: 190,2°
Sklon: 79,9°
VstupnĂ­ rychlost: 27,9 km/s
Rektascenze radiantu: 02:34 (38,7°)
Deklinace radiantu: 78,9°
MeteorickĂ˝ roj: sporadickĂ˝
Elementy dráhy meteoroidu:
Vzdálenost v periheliu: 0,723 AU
Excentricita: 0,210
Sklon dráhy: 51,6°
Délka vzestupného uzlu: 184,3°
Argument perihelia: 307,5°
Střední anomálie: 253,4°
Epocha: 2019 SEP 28 00:26:58
orbit plot

NeinteraktivnĂ­ graf | InteraktivnĂ­ graf

position vs time
speed and acceleration