🇳🇴 🇬🇧 🇩🇪 🇨🇿 🇫🇮

Meteor Setermoenin yllä 2019-09-28 00:26:58 UTC

KML-tiedosto  |  Interaktiivinen kartta

Kartta näyttää meteorin suuntahavainnot. Vaaleammat viivat näyttävät suunnat havaintoasemilta meteorin ilmestyessä, ja tummemmat viivat näyttävät, missä se viimeksi nähtiin. Sininen nuoli näyttää meteorin näkyvän lennon.

static map
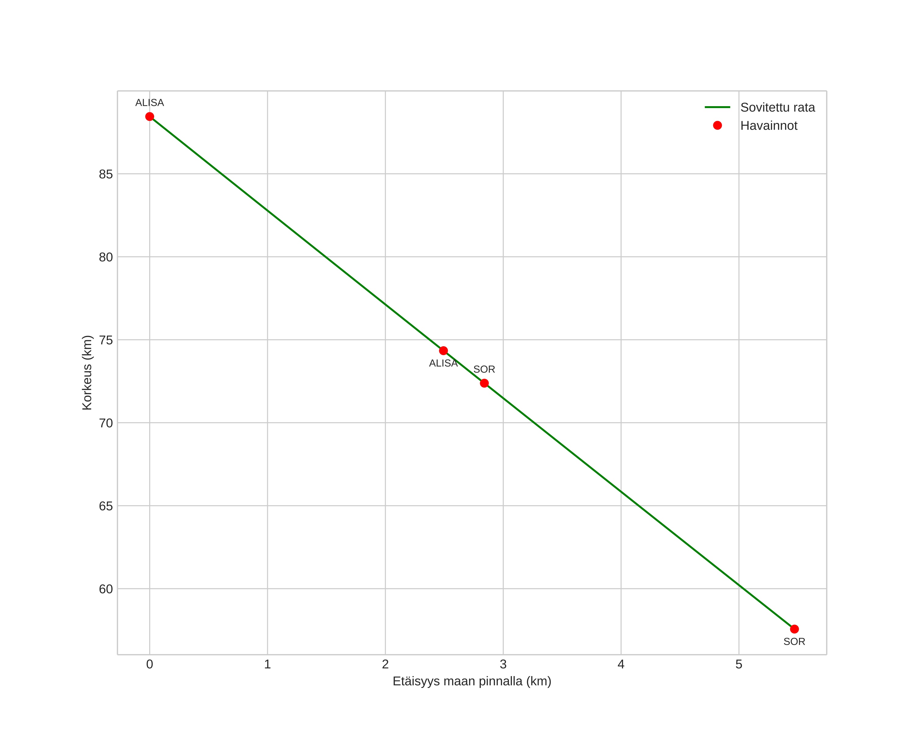
height profile
Meteorin ilmakehärata:
Alkukorkeus: 88,8 km
Loppukorkeus: 57,4 km
Alkupiste: 68,827N 18,321E
Loppupiste: 68,777N 18,297E
Suunta: 190,2°
Kallistuskulma: 79,9°
Tulonopeus: 27,9 km/s
Radiantin R,A,: 02:34 (38,7°)
Radiantin Dekl,: 78,9°
Meteoriparvi: Sporadinen
Meteoroidin rataelementit:
Perihelietäisyys: 0,723 AU
Eksentrisyys: 0,210
Inklinaatio: 51,6°
Nousevan solmun pituus: 184,3°
Perihelin argumentti: 307,5°
Keskianomalia: 253,4°
Epookki: 2019 SEP 28 00:26:58
orbit plot

Ei-interaktiivinen kuvaaja | Interaktiivinen kuvaaja

position vs time
speed and acceleration