🇳🇴 🇬🇧 🇩🇪 🇨🇿 🇫🇮

Meteor, poloha: Älvdalen 2019-09-30 22:45:15 UTC

Soubor KML  |  InteraktivnĂ­ mapa

Mapa zobrazuje dráhy meteoru. Světlejší čáry ukazují směry od pozorovacích stanic při objevení se meteoru a tmavší čáry, kde byl naposledy viděn. Modrá šipka značí viditelnou dráhu meteoru.

static map
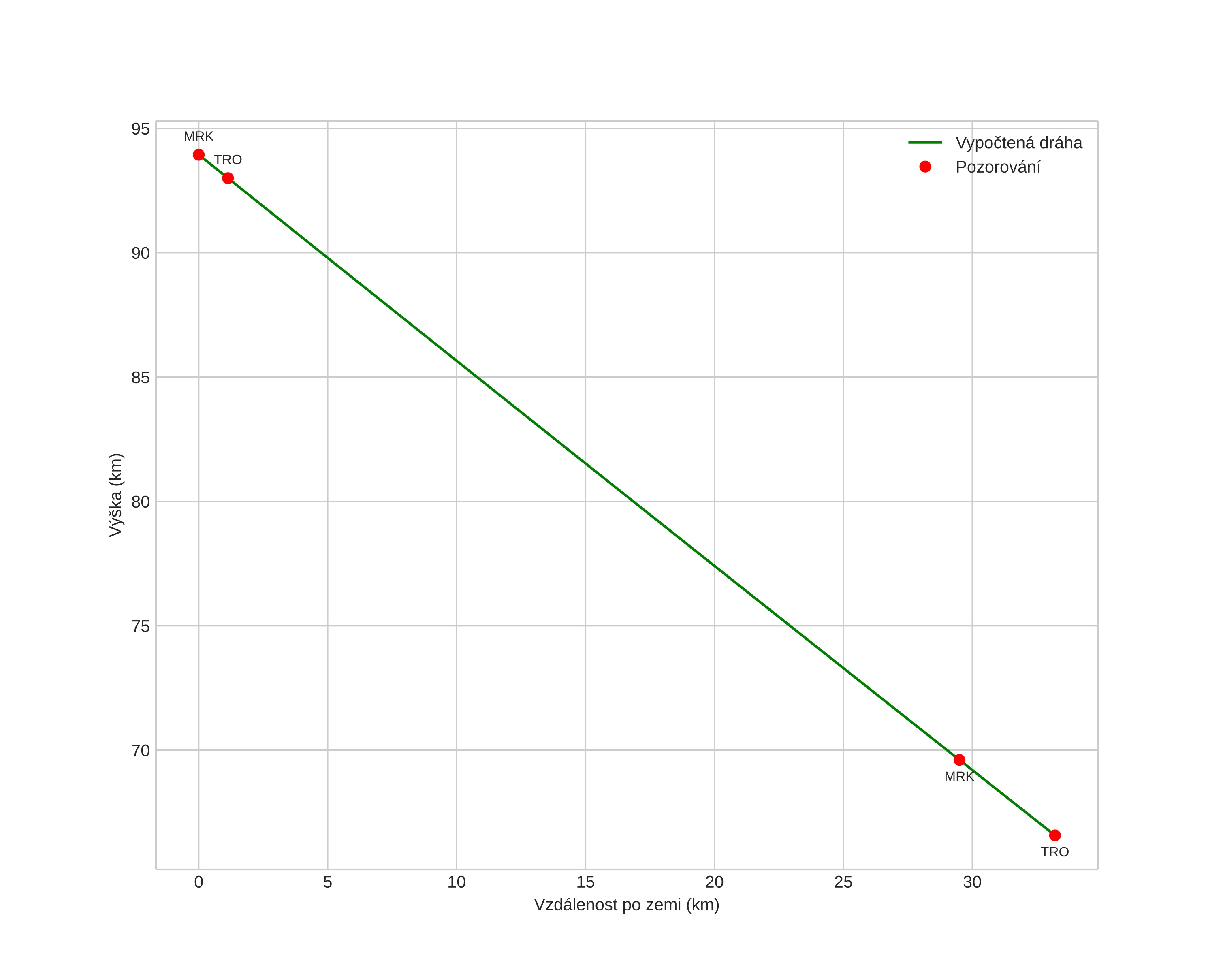
height profile
Atmosférická dráha meteoru:
Počáteční výška: 94,6 km
Konečná výška: 68,1 km
Počáteční poloha: 61,478N 14,006E
Konečná poloha: 61,236N 14,271E
Směr: 152,2°
Sklon: 41,1°
VstupnĂ­ rychlost: 27,9 km/s
Rektascenze radiantu: 15:40 (235,2°)
Deklinace radiantu: 61,5°
MeteorickĂ˝ roj: sporadickĂ˝
Elementy dráhy meteoroidu:
Vzdálenost v periheliu: 0,968 AU
Excentricita: 0,705
Sklon dráhy: 40,3°
Délka vzestupného uzlu: 187,2°
Argument perihelia: 156,7°
Střední anomálie: 2,9°
Epocha: 2019 SEP 30 22:45:15
orbit plot

NeinteraktivnĂ­ graf | InteraktivnĂ­ graf

position vs time
speed and acceleration