🇳🇴 🇬🇧 🇩🇪 🇨🇿 🇫🇮

Meteor Älvdalenin yllä 2019-09-30 22:45:15 UTC

KML-tiedosto  |  Interaktiivinen kartta

Kartta näyttää meteorin suuntahavainnot. Vaaleammat viivat näyttävät suunnat havaintoasemilta meteorin ilmestyessä, ja tummemmat viivat näyttävät, missä se viimeksi nähtiin. Sininen nuoli näyttää meteorin näkyvän lennon.

static map
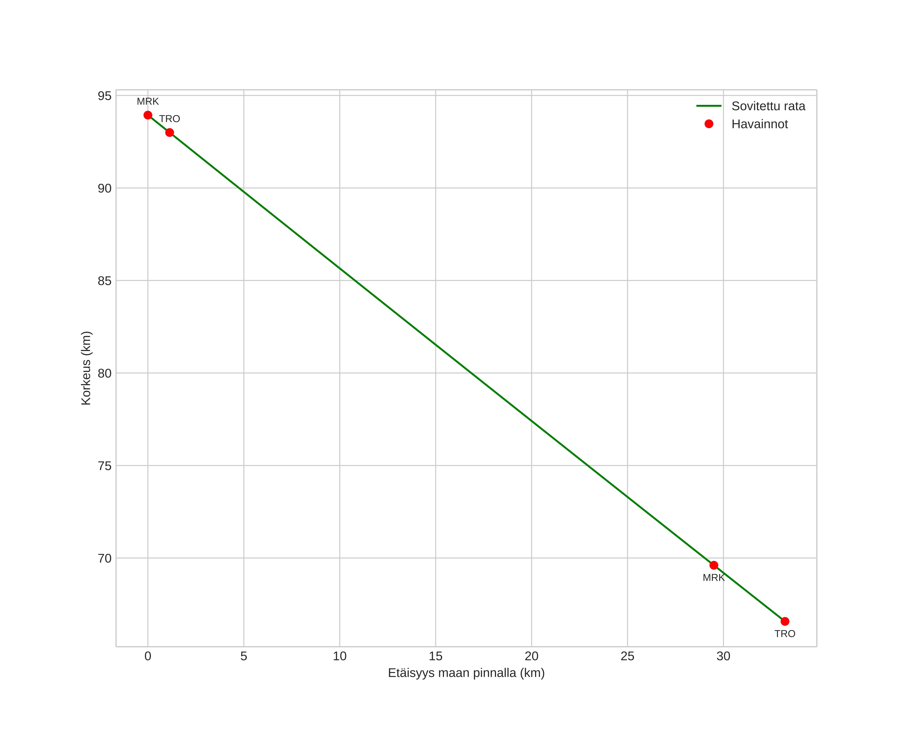
height profile
Meteorin ilmakehärata:
Alkukorkeus: 94,6 km
Loppukorkeus: 68,1 km
Alkupiste: 61,478N 14,006E
Loppupiste: 61,236N 14,271E
Suunta: 152,2°
Kallistuskulma: 41,1°
Tulonopeus: 27,9 km/s
Radiantin R,A,: 15:40 (235,2°)
Radiantin Dekl,: 61,5°
Meteoriparvi: Sporadinen
Meteoroidin rataelementit:
Perihelietäisyys: 0,968 AU
Eksentrisyys: 0,705
Inklinaatio: 40,3°
Nousevan solmun pituus: 187,2°
Perihelin argumentti: 156,7°
Keskianomalia: 2,9°
Epookki: 2019 SEP 30 22:45:15
orbit plot

Ei-interaktiivinen kuvaaja | Interaktiivinen kuvaaja

position vs time
speed and acceleration