🇳🇴 🇬🇧 🇩🇪 🇨🇿 🇫🇮

Meteor, poloha: Narvik 2019-10-04 22:20:54 UTC

Soubor KML  |  InteraktivnĂ­ mapa

Mapa zobrazuje dráhy meteoru. Světlejší čáry ukazují směry od pozorovacích stanic při objevení se meteoru a tmavší čáry, kde byl naposledy viděn. Modrá šipka značí viditelnou dráhu meteoru.

static map
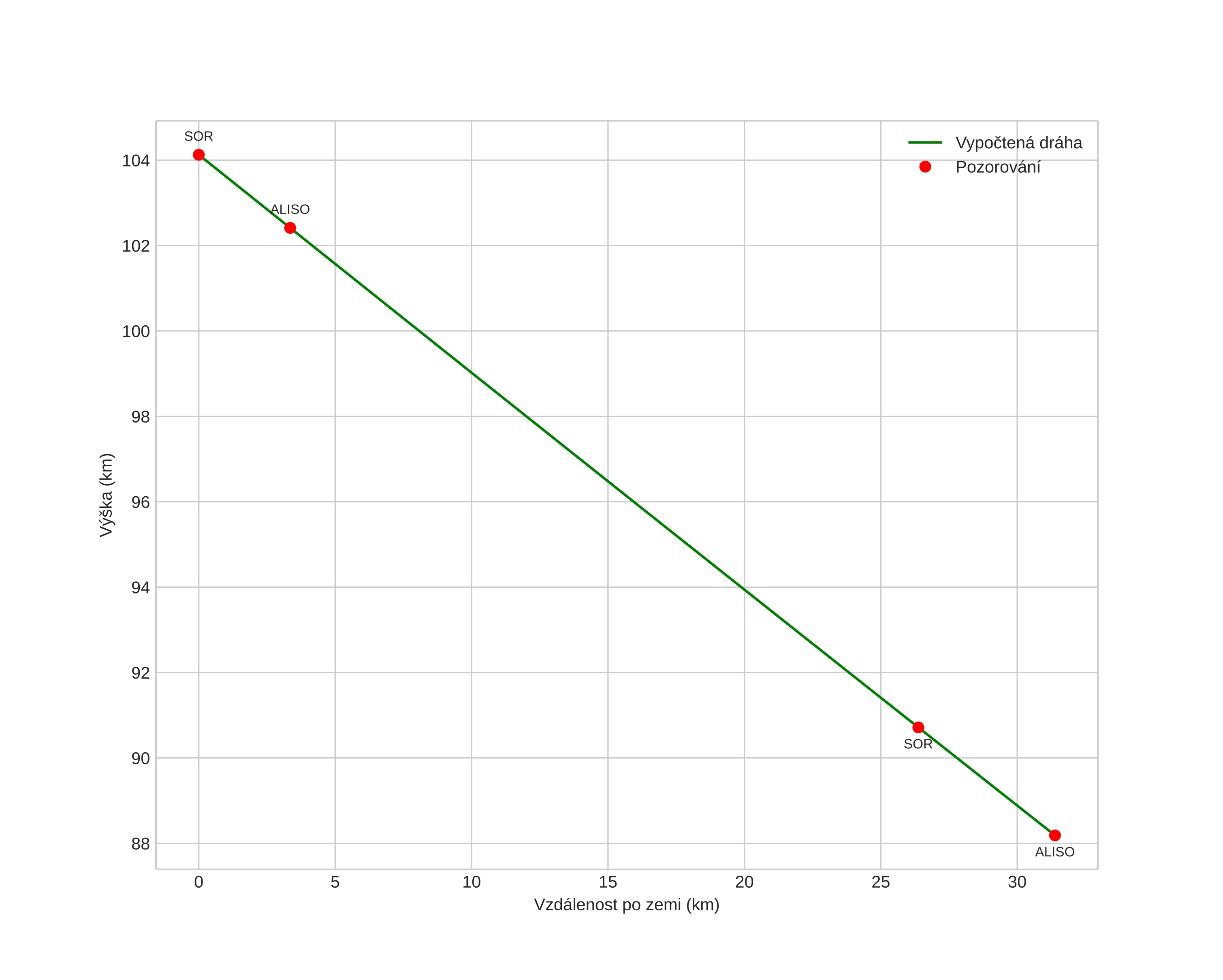
height profile
Atmosférická dráha meteoru:
Počáteční výška: 104,5 km
Konečná výška: 88,2 km
Počáteční poloha: 68,499N 18,127E
Konečná poloha: 68,464N 17,365E
Směr: 263,2°
Sklon: 27,5°
VstupnĂ­ rychlost: 72,7 km/s
Rektascenze radiantu: 06:07 (91,8°)
Deklinace radiantu: 27,6°
MeteorickĂ˝ roj: sporadickĂ˝
Elementy dráhy meteoroidu:
Vzdálenost v periheliu: 0,920 AU
Excentricita: 1,068
Sklon dráhy: 172,7°
Délka vzestupného uzlu: 191,1°
Argument perihelia: 212,4°
Střední anomálie: -0,4°
Epocha: 2019 OCT 04 22:20:54
orbit plot

NeinteraktivnĂ­ graf | InteraktivnĂ­ graf

position vs time
speed and acceleration