🇳🇴 🇬🇧 🇩🇪 🇨🇿 🇫🇮

Meteor Narvikin yllä 2019-10-04 22:20:54 UTC

KML-tiedosto  |  Interaktiivinen kartta

Kartta näyttää meteorin suuntahavainnot. Vaaleammat viivat näyttävät suunnat havaintoasemilta meteorin ilmestyessä, ja tummemmat viivat näyttävät, missä se viimeksi nähtiin. Sininen nuoli näyttää meteorin näkyvän lennon.

static map
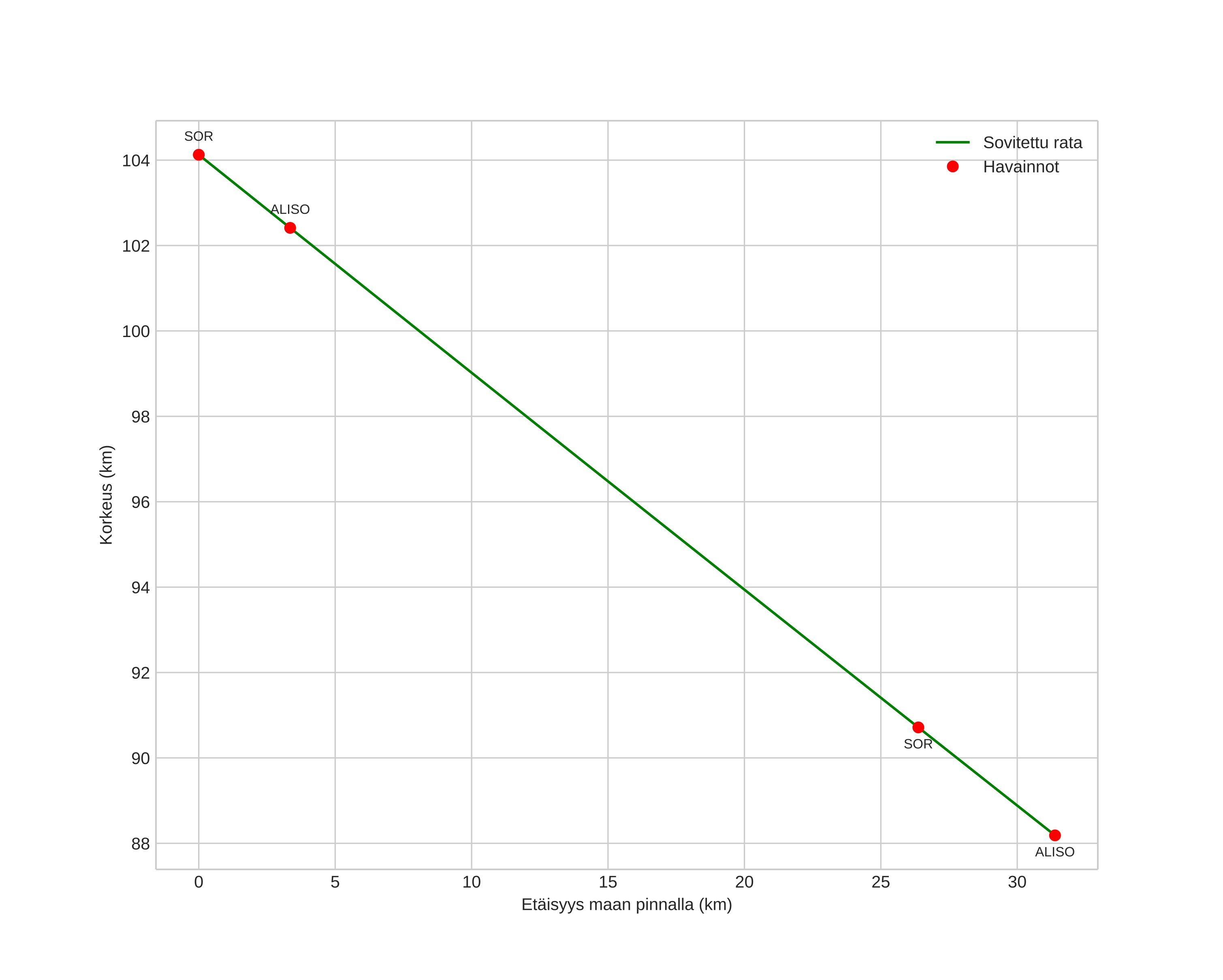
height profile
Meteorin ilmakehärata:
Alkukorkeus: 104,5 km
Loppukorkeus: 88,2 km
Alkupiste: 68,499N 18,127E
Loppupiste: 68,464N 17,365E
Suunta: 263,2°
Kallistuskulma: 27,5°
Tulonopeus: 72,7 km/s
Radiantin R,A,: 06:07 (91,8°)
Radiantin Dekl,: 27,6°
Meteoriparvi: Sporadinen
Meteoroidin rataelementit:
Perihelietäisyys: 0,920 AU
Eksentrisyys: 1,068
Inklinaatio: 172,7°
Nousevan solmun pituus: 191,1°
Perihelin argumentti: 212,4°
Keskianomalia: -0,4°
Epookki: 2019 OCT 04 22:20:54
orbit plot

Ei-interaktiivinen kuvaaja | Interaktiivinen kuvaaja

position vs time
speed and acceleration