🇳🇴 🇬🇧 🇩🇪 🇨🇿 🇫🇮

Meteor, poloha: Koppang 2019-10-05 21:33:00 UTC

Soubor KML  |  InteraktivnĂ­ mapa

Mapa zobrazuje dráhy meteoru. Světlejší čáry ukazují směry od pozorovacích stanic při objevení se meteoru a tmavší čáry, kde byl naposledy viděn. Modrá šipka značí viditelnou dráhu meteoru.

static map
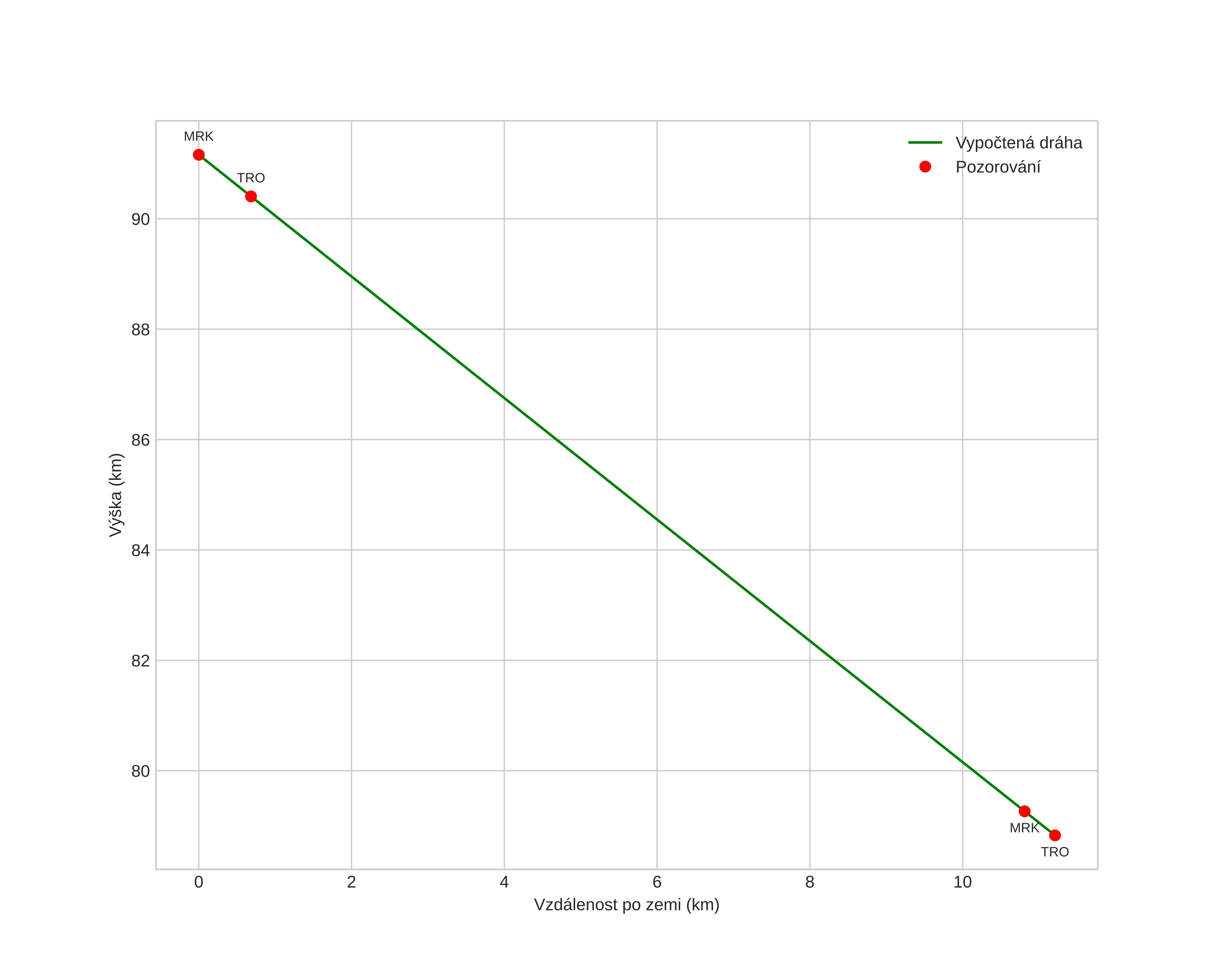
height profile
Atmosférická dráha meteoru:
Počáteční výška: 91,1 km
Konečná výška: 77,9 km
Počáteční poloha: 61,464N 11,056E
Konečná poloha: 61,555N 10,932E
Směr: 327,2°
Sklon: 47,6°
VstupnĂ­ rychlost: 33,5 km/s
Rektascenze radiantu: 00:45 (11,4°)
Deklinace radiantu: 20,9°
MeteorickĂ˝ roj: sporadickĂ˝
Elementy dráhy meteoroidu:
Vzdálenost v periheliu: 0,431 AU
Excentricita: 0,963
Sklon dráhy: 16,9°
Délka vzestupného uzlu: 192,1°
Argument perihelia: 279,2°
Střední anomálie: 359,0°
Epocha: 2019 OCT 05 21:33:00
orbit plot

NeinteraktivnĂ­ graf | InteraktivnĂ­ graf

position vs time
speed and acceleration