🇳🇴 🇬🇧 🇩🇪 🇨🇿 🇫🇮

Meteor Koppangin yllä 2019-10-05 21:33:00 UTC

KML-tiedosto  |  Interaktiivinen kartta

Kartta näyttää meteorin suuntahavainnot. Vaaleammat viivat näyttävät suunnat havaintoasemilta meteorin ilmestyessä, ja tummemmat viivat näyttävät, missä se viimeksi nähtiin. Sininen nuoli näyttää meteorin näkyvän lennon.

static map
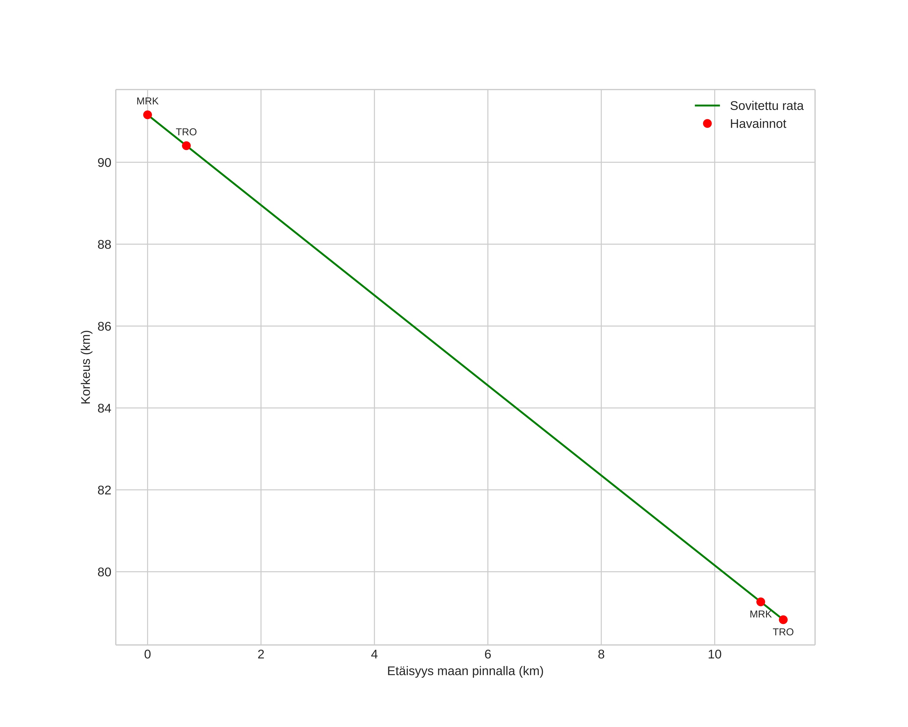
height profile
Meteorin ilmakehärata:
Alkukorkeus: 91,1 km
Loppukorkeus: 77,9 km
Alkupiste: 61,464N 11,056E
Loppupiste: 61,555N 10,932E
Suunta: 327,2°
Kallistuskulma: 47,6°
Tulonopeus: 33,5 km/s
Radiantin R,A,: 00:45 (11,4°)
Radiantin Dekl,: 20,9°
Meteoriparvi: Sporadinen
Meteoroidin rataelementit:
Perihelietäisyys: 0,431 AU
Eksentrisyys: 0,963
Inklinaatio: 16,9°
Nousevan solmun pituus: 192,1°
Perihelin argumentti: 279,2°
Keskianomalia: 359,0°
Epookki: 2019 OCT 05 21:33:00
orbit plot

Ei-interaktiivinen kuvaaja | Interaktiivinen kuvaaja

position vs time
speed and acceleration