🇳🇴 🇬🇧 🇩🇪 🇨🇿 🇫🇮

Meteor, poloha: LaxĂĄ 2019-10-07 01:37:35 UTC

Soubor KML  |  InteraktivnĂ­ mapa

Mapa zobrazuje dráhy meteoru. Světlejší čáry ukazují směry od pozorovacích stanic při objevení se meteoru a tmavší čáry, kde byl naposledy viděn. Modrá šipka značí viditelnou dráhu meteoru.

static map
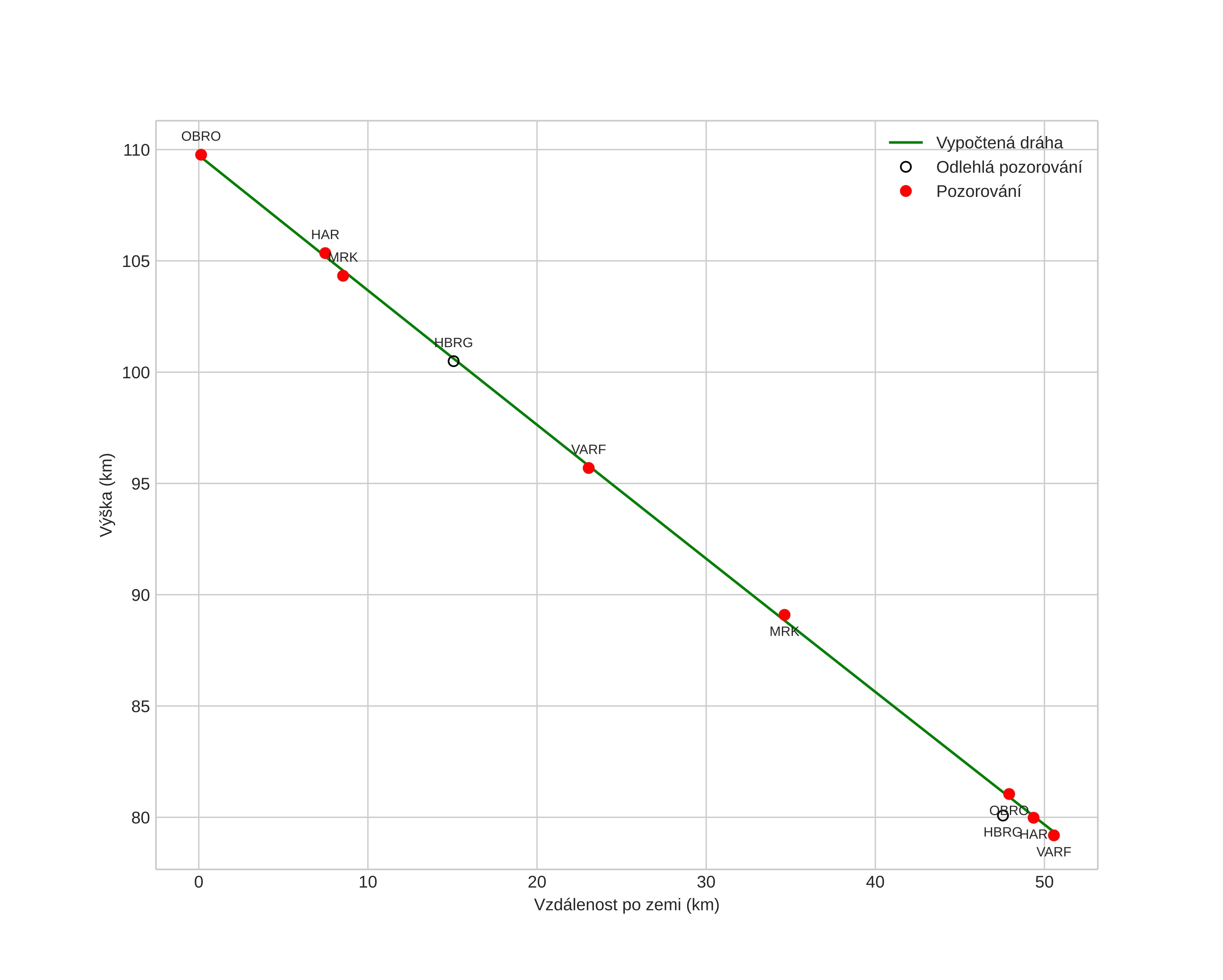
height profile
Atmosférická dráha meteoru:
Počáteční výška: 109,7 km
Konečná výška: 79,3 km
Počáteční poloha: 59,097N 15,432E
Konečná poloha: 58,978N 14,577E
Směr: 255,3°
Sklon: 31,0°
VstupnĂ­ rychlost: 65,9 km/s
Rektascenze radiantu: 09:19 (139,8°)
Deklinace radiantu: 33,4°
MeteorickĂ˝ roj: sporadickĂ˝
Elementy dráhy meteoroidu:
Vzdálenost v periheliu: 0,536 AU
Excentricita: 1,019
Sklon dráhy: 142,6°
Délka vzestupného uzlu: 193,2°
Argument perihelia: 94,6°
Střední anomálie: 0,2°
Epocha: 2019 OCT 07 01:37:35
orbit plot

NeinteraktivnĂ­ graf | InteraktivnĂ­ graf

position vs time
speed and acceleration