🇳🇴 🇬🇧 🇩🇪 🇨🇿 🇫🇮

Meteor Laxåin yllä 2019-10-07 01:37:35 UTC

KML-tiedosto  |  Interaktiivinen kartta

Kartta näyttää meteorin suuntahavainnot. Vaaleammat viivat näyttävät suunnat havaintoasemilta meteorin ilmestyessä, ja tummemmat viivat näyttävät, missä se viimeksi nähtiin. Sininen nuoli näyttää meteorin näkyvän lennon.

static map
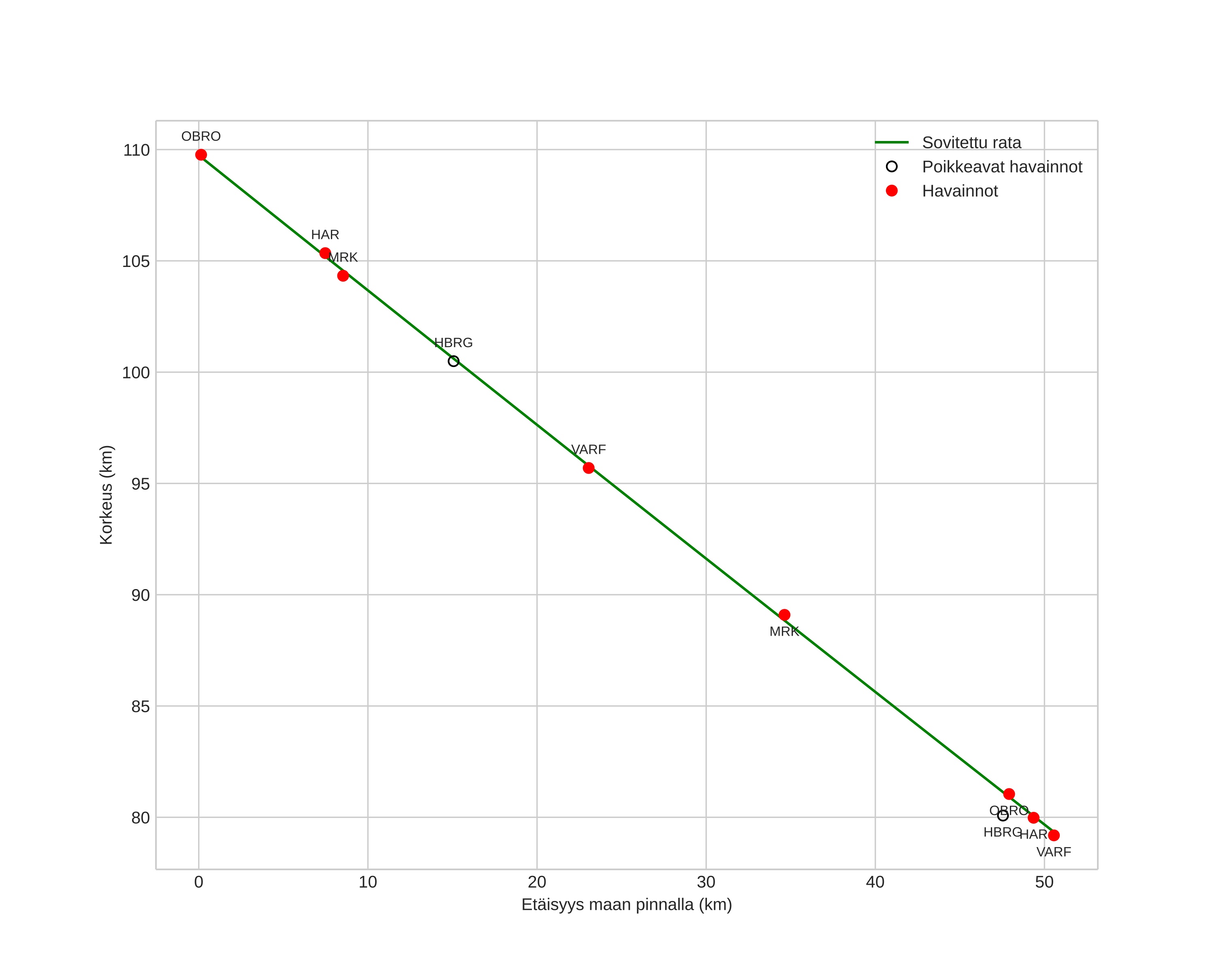
height profile
Meteorin ilmakehärata:
Alkukorkeus: 109,7 km
Loppukorkeus: 79,3 km
Alkupiste: 59,097N 15,432E
Loppupiste: 58,978N 14,577E
Suunta: 255,3°
Kallistuskulma: 31,0°
Tulonopeus: 65,9 km/s
Radiantin R,A,: 09:19 (139,8°)
Radiantin Dekl,: 33,4°
Meteoriparvi: Sporadinen
Meteoroidin rataelementit:
Perihelietäisyys: 0,536 AU
Eksentrisyys: 1,019
Inklinaatio: 142,6°
Nousevan solmun pituus: 193,2°
Perihelin argumentti: 94,6°
Keskianomalia: 0,2°
Epookki: 2019 OCT 07 01:37:35
orbit plot

Ei-interaktiivinen kuvaaja | Interaktiivinen kuvaaja

position vs time
speed and acceleration