🇳🇴 🇬🇧 🇩🇪 🇨🇿 🇫🇮

Meteor, poloha: Harstad 2019-10-08 21:40:11 UTC

Soubor KML  |  InteraktivnĂ­ mapa

Mapa zobrazuje dráhy meteoru. Světlejší čáry ukazují směry od pozorovacích stanic při objevení se meteoru a tmavší čáry, kde byl naposledy viděn. Modrá šipka značí viditelnou dráhu meteoru.

static map
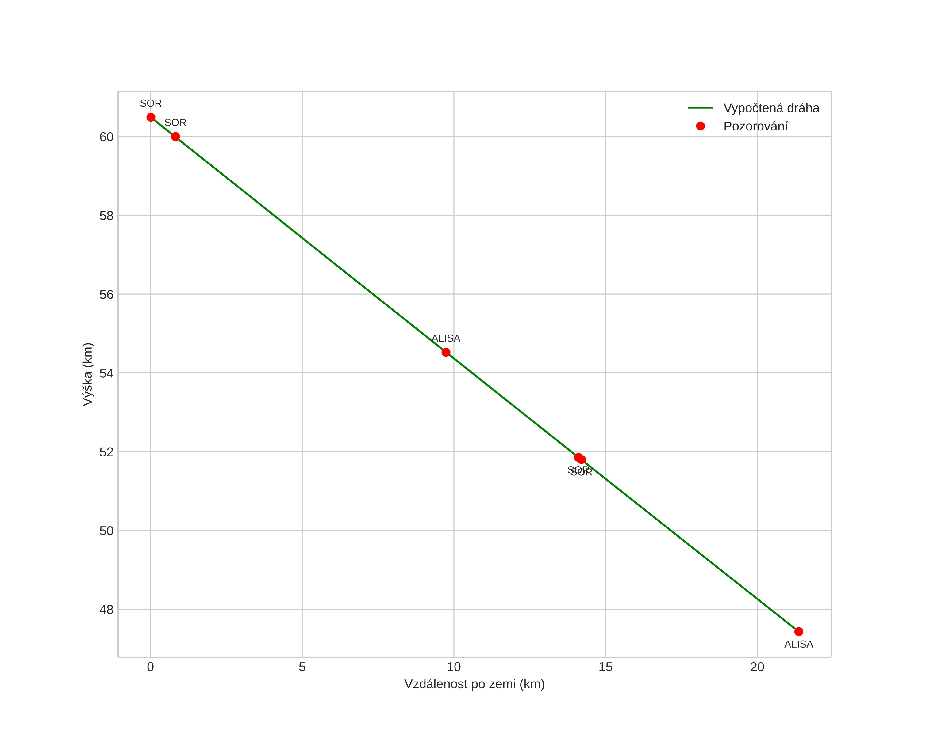
height profile
Atmosférická dráha meteoru:
Počáteční výška: 60,3 km
Konečná výška: 47,4 km
Počáteční poloha: 69,343N 17,314E
Konečná poloha: 69,274N 16,819E
Směr: 248,9°
Sklon: 31,7°
VstupnĂ­ rychlost: 31,5 km/s
Rektascenze radiantu: 06:30 (97,6°)
Deklinace radiantu: 35,1°
MeteorickĂ˝ roj: sporadickĂ˝
Elementy dráhy meteoroidu:
Vzdálenost v periheliu: 0,022 AU
Excentricita: 0,958
Sklon dráhy: 76,4°
Délka vzestupného uzlu: 195,0°
Argument perihelia: 358,0°
Střední anomálie: 206,7°
Epocha: 2019 OCT 08 21:40:11
orbit plot

NeinteraktivnĂ­ graf | InteraktivnĂ­ graf

position vs time
speed and acceleration