🇳🇴 🇬🇧 🇩🇪 🇨🇿 🇫🇮

Meteor Harstadin yllä 2019-10-08 21:40:11 UTC

KML-tiedosto  |  Interaktiivinen kartta

Kartta näyttää meteorin suuntahavainnot. Vaaleammat viivat näyttävät suunnat havaintoasemilta meteorin ilmestyessä, ja tummemmat viivat näyttävät, missä se viimeksi nähtiin. Sininen nuoli näyttää meteorin näkyvän lennon.

static map
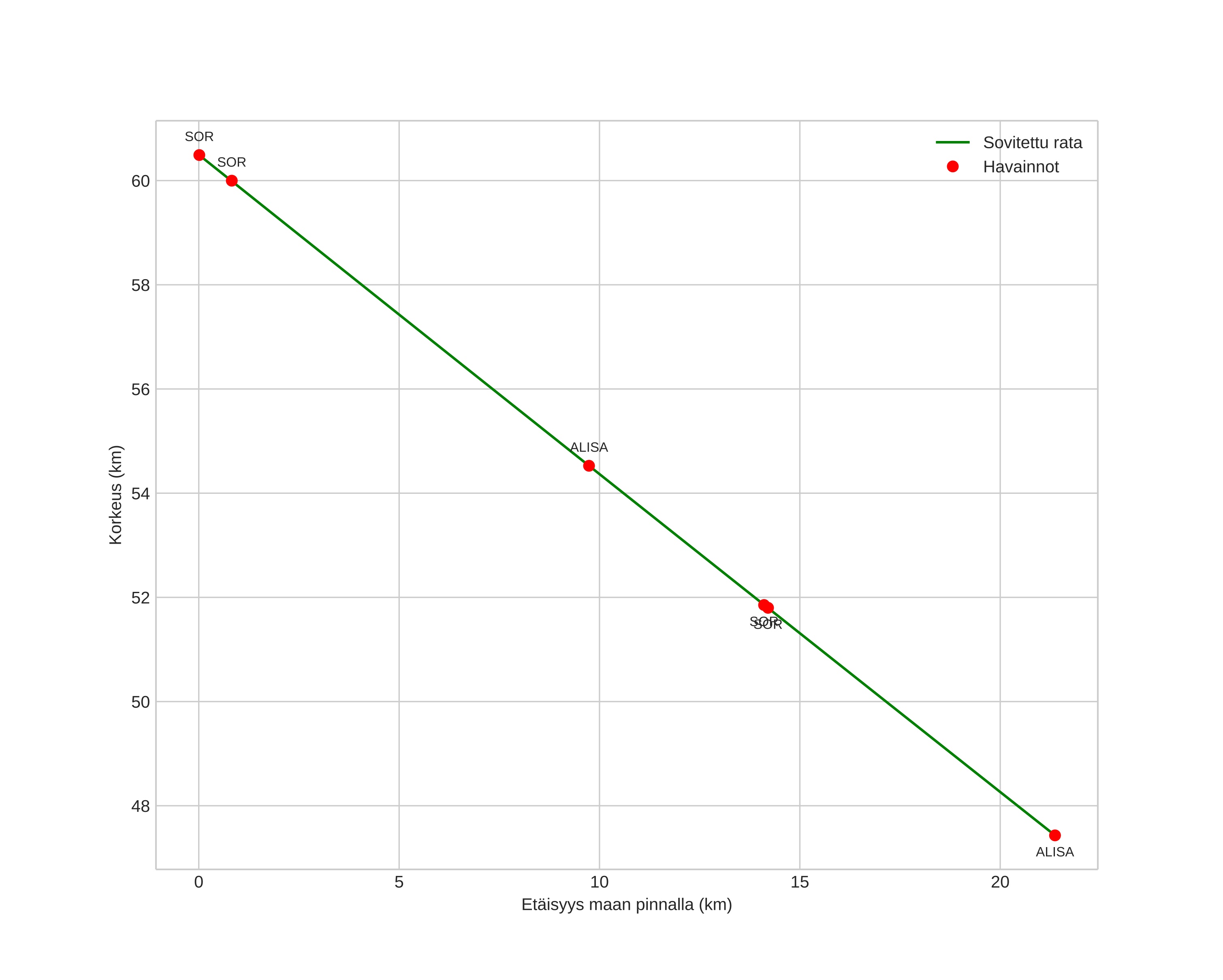
height profile
Meteorin ilmakehärata:
Alkukorkeus: 60,3 km
Loppukorkeus: 47,4 km
Alkupiste: 69,343N 17,314E
Loppupiste: 69,274N 16,819E
Suunta: 248,9°
Kallistuskulma: 31,7°
Tulonopeus: 31,5 km/s
Radiantin R,A,: 06:30 (97,6°)
Radiantin Dekl,: 35,1°
Meteoriparvi: Sporadinen
Meteoroidin rataelementit:
Perihelietäisyys: 0,022 AU
Eksentrisyys: 0,958
Inklinaatio: 76,4°
Nousevan solmun pituus: 195,0°
Perihelin argumentti: 358,0°
Keskianomalia: 206,7°
Epookki: 2019 OCT 08 21:40:11
orbit plot

Ei-interaktiivinen kuvaaja | Interaktiivinen kuvaaja

position vs time
speed and acceleration