🇳🇴 🇬🇧 🇩🇪 🇨🇿 🇫🇮

Meteor, poloha: Olderdalen 2019-10-15 00:52:00 UTC

Soubor KML  |  InteraktivnĂ­ mapa

Mapa zobrazuje dráhy meteoru. Světlejší čáry ukazují směry od pozorovacích stanic při objevení se meteoru a tmavší čáry, kde byl naposledy viděn. Modrá šipka značí viditelnou dráhu meteoru.

static map
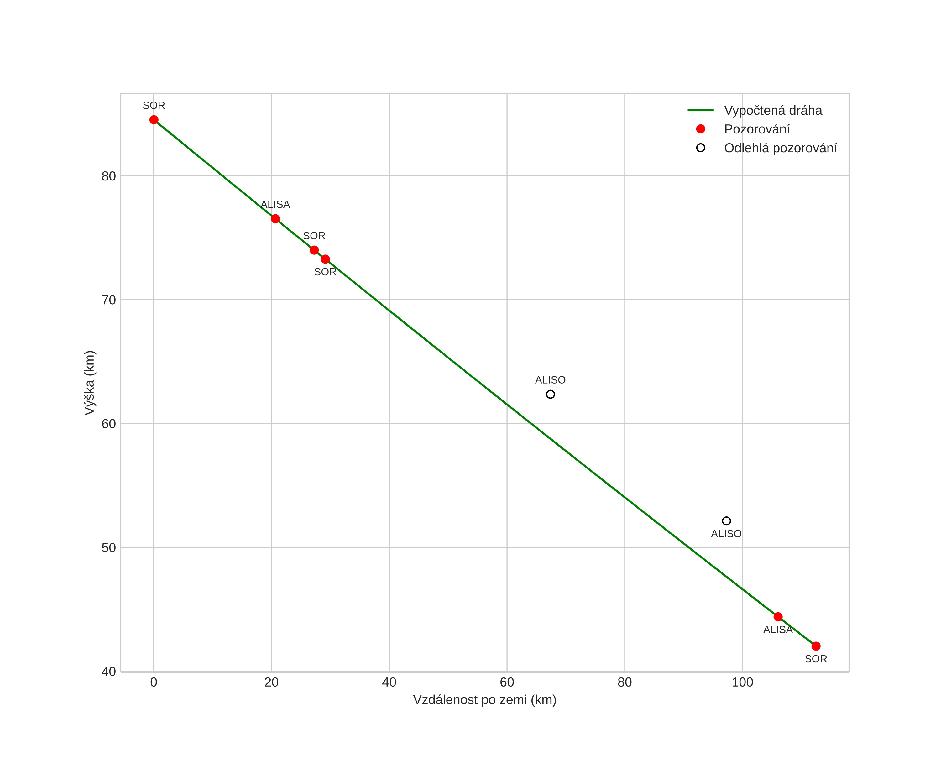
height profile
Atmosférická dráha meteoru:
Počáteční výška: 83,1 km
Konečná výška: 40,8 km
Počáteční poloha: 69,011N 17,943E
Konečná poloha: 69,489N 20,447E
Směr: 60,5°
Sklon: 20,7°
VstupnĂ­ rychlost: 15,8 km/s
Rektascenze radiantu: 23:35 (353,8°)
Deklinace radiantu: -3,1°
MeteorickĂ˝ roj: sporadickĂ˝
Elementy dráhy meteoroidu:
Vzdálenost v periheliu: 0,883 AU
Excentricita: 0,574
Sklon dráhy: 0,1°
Délka vzestupného uzlu: 21,5°
Argument perihelia: 46,3°
Střední anomálie: 348,8°
Epocha: 2019 OCT 15 00:52:00
orbit plot

NeinteraktivnĂ­ graf | InteraktivnĂ­ graf

position vs time
speed and acceleration