🇳🇴 🇬🇧 🇩🇪 🇨🇿 🇫🇮

Meteor Olderdalenin yllä 2019-10-15 00:52:00 UTC

KML-tiedosto  |  Interaktiivinen kartta

Kartta näyttää meteorin suuntahavainnot. Vaaleammat viivat näyttävät suunnat havaintoasemilta meteorin ilmestyessä, ja tummemmat viivat näyttävät, missä se viimeksi nähtiin. Sininen nuoli näyttää meteorin näkyvän lennon.

static map
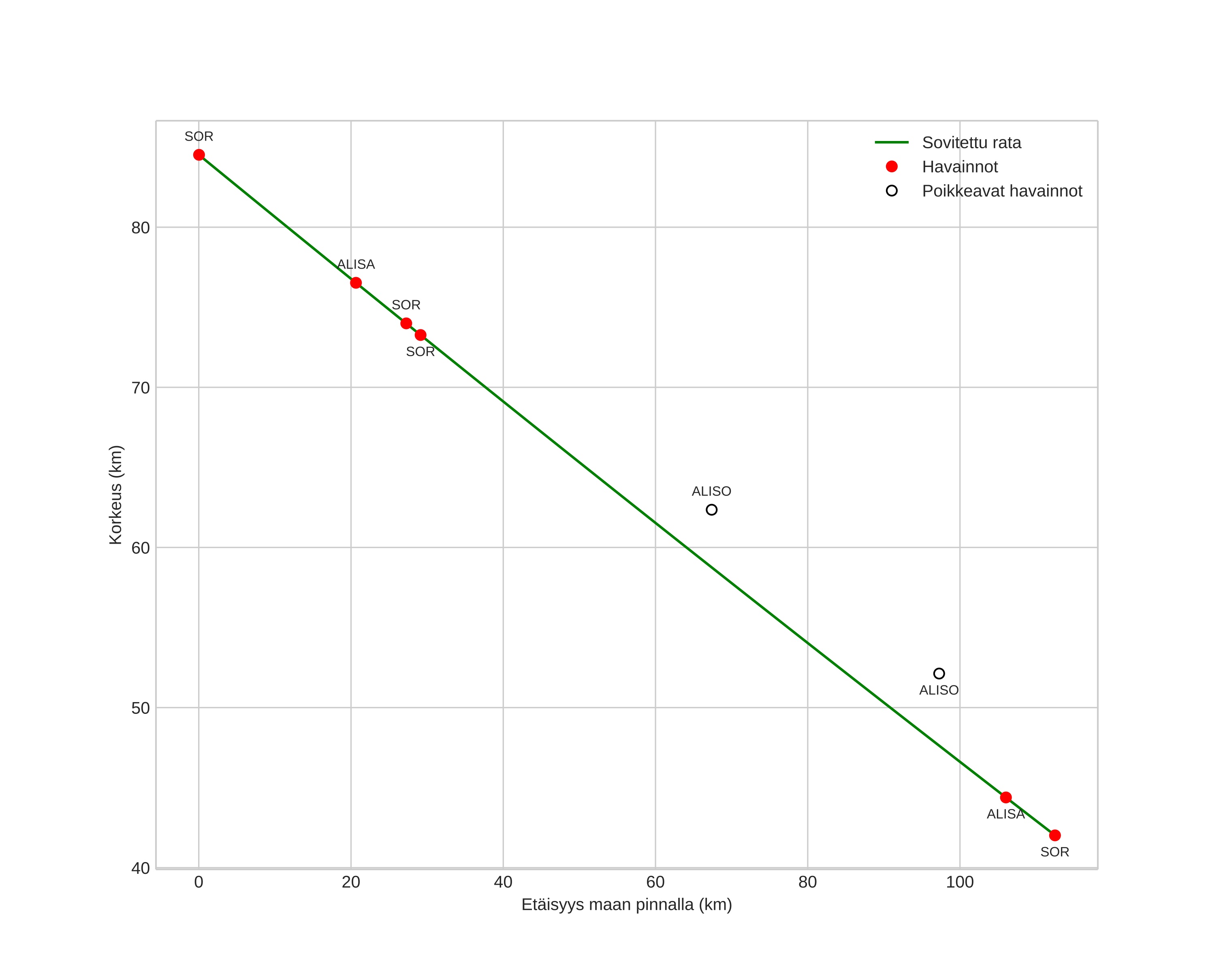
height profile
Meteorin ilmakehärata:
Alkukorkeus: 83,1 km
Loppukorkeus: 40,8 km
Alkupiste: 69,011N 17,943E
Loppupiste: 69,489N 20,447E
Suunta: 60,5°
Kallistuskulma: 20,7°
Tulonopeus: 15,8 km/s
Radiantin R,A,: 23:35 (353,8°)
Radiantin Dekl,: -3,1°
Meteoriparvi: Sporadinen
Meteoroidin rataelementit:
Perihelietäisyys: 0,883 AU
Eksentrisyys: 0,574
Inklinaatio: 0,1°
Nousevan solmun pituus: 21,5°
Perihelin argumentti: 46,3°
Keskianomalia: 348,8°
Epookki: 2019 OCT 15 00:52:00
orbit plot

Ei-interaktiivinen kuvaaja | Interaktiivinen kuvaaja

position vs time
speed and acceleration