🇳🇴 🇬🇧 🇩🇪 🇨🇿 🇫🇮

Meteor, poloha: Leinesfjorden 2019-10-15 18:00:37 UTC

Soubor KML  |  InteraktivnĂ­ mapa

Mapa zobrazuje dráhy meteoru. Světlejší čáry ukazují směry od pozorovacích stanic při objevení se meteoru a tmavší čáry, kde byl naposledy viděn. Modrá šipka značí viditelnou dráhu meteoru.

static map
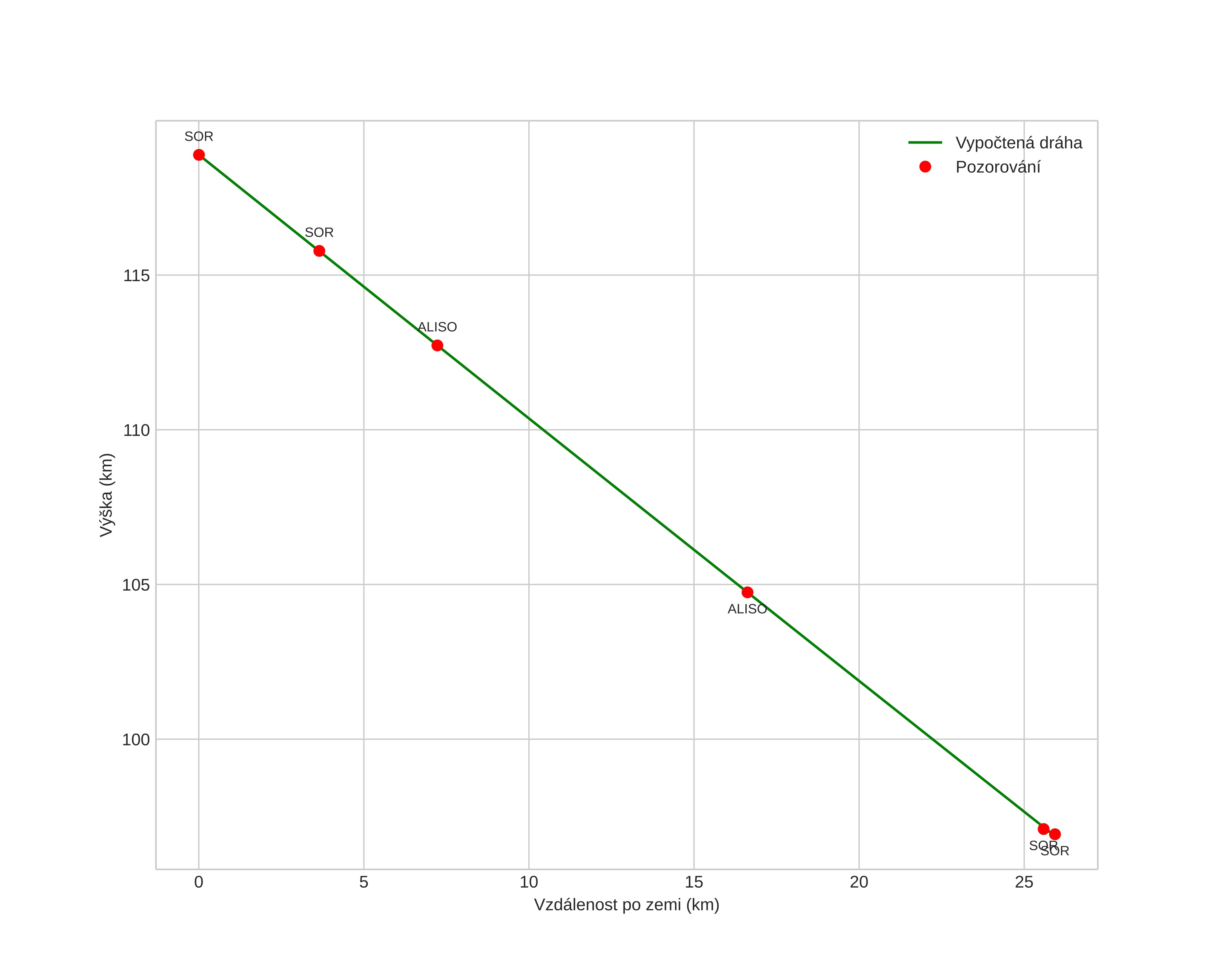
height profile
Atmosférická dráha meteoru:
Počáteční výška: 114,6 km
Konečná výška: 96,9 km
Počáteční poloha: 68,041N 14,854E
Konečná poloha: 67,792N 14,842E
Směr: 181,1°
Sklon: 32,6°
VstupnĂ­ rychlost: 62,3 km/s
Rektascenze radiantu: 08:29 (127,3°)
Deklinace radiantu: 54,2°
MeteorickĂ˝ roj: sporadickĂ˝
Elementy dráhy meteoroidu:
Vzdálenost v periheliu: 0,992 AU
Excentricita: 0,816
Sklon dráhy: 121,4°
Délka vzestupného uzlu: 201,8°
Argument perihelia: 171,7°
Střední anomálie: 0,5°
Epocha: 2019 OCT 15 18:00:37
orbit plot

NeinteraktivnĂ­ graf | InteraktivnĂ­ graf

position vs time
speed and acceleration