🇳🇴 🇬🇧 🇩🇪 🇨🇿 🇫🇮

Meteor Leinesfjordenin yllä 2019-10-15 18:00:37 UTC

KML-tiedosto  |  Interaktiivinen kartta

Kartta näyttää meteorin suuntahavainnot. Vaaleammat viivat näyttävät suunnat havaintoasemilta meteorin ilmestyessä, ja tummemmat viivat näyttävät, missä se viimeksi nähtiin. Sininen nuoli näyttää meteorin näkyvän lennon.

static map
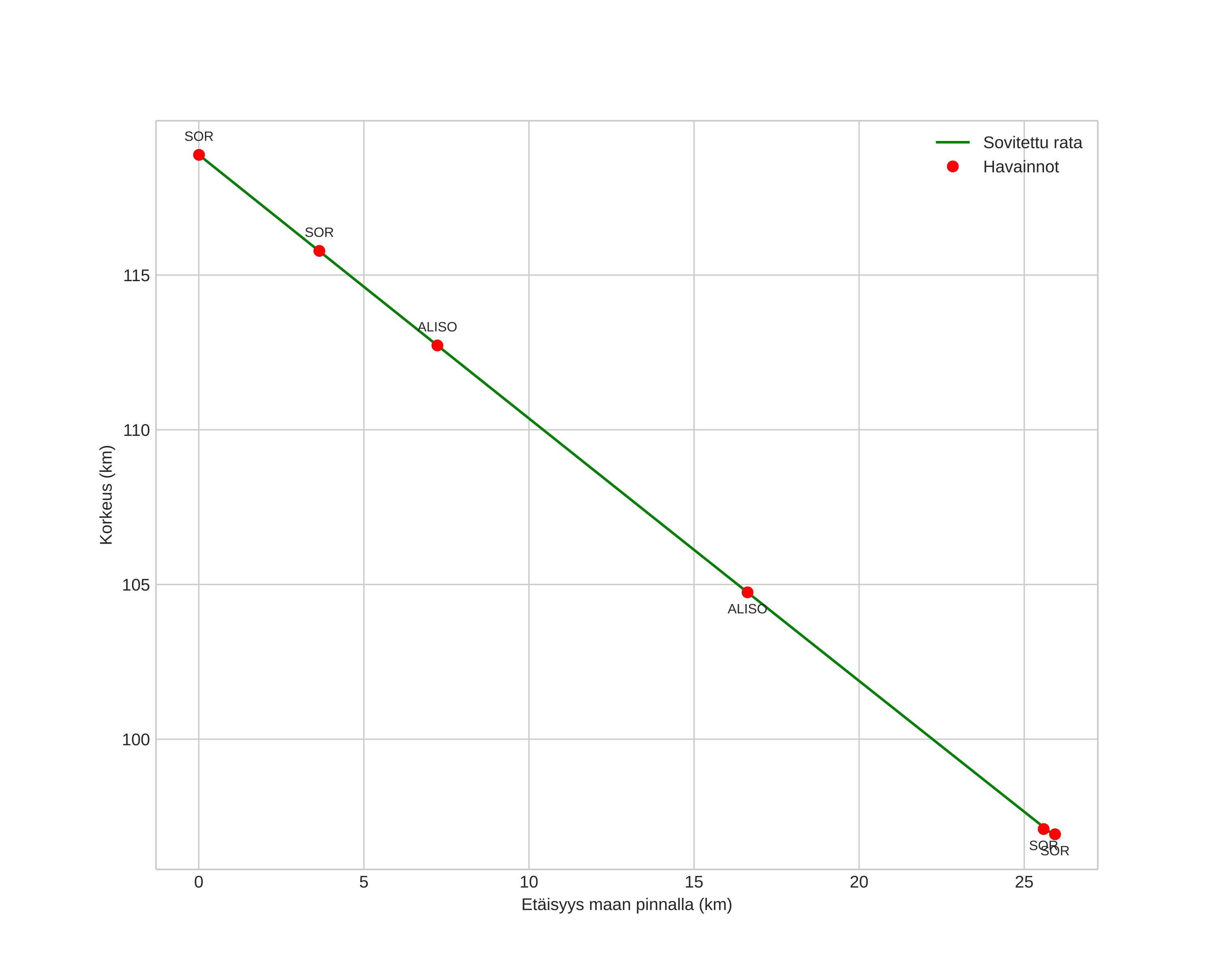
height profile
Meteorin ilmakehärata:
Alkukorkeus: 114,6 km
Loppukorkeus: 96,9 km
Alkupiste: 68,041N 14,854E
Loppupiste: 67,792N 14,842E
Suunta: 181,1°
Kallistuskulma: 32,6°
Tulonopeus: 62,3 km/s
Radiantin R,A,: 08:29 (127,3°)
Radiantin Dekl,: 54,2°
Meteoriparvi: Sporadinen
Meteoroidin rataelementit:
Perihelietäisyys: 0,992 AU
Eksentrisyys: 0,816
Inklinaatio: 121,4°
Nousevan solmun pituus: 201,8°
Perihelin argumentti: 171,7°
Keskianomalia: 0,5°
Epookki: 2019 OCT 15 18:00:37
orbit plot

Ei-interaktiivinen kuvaaja | Interaktiivinen kuvaaja

position vs time
speed and acceleration