🇳🇴 🇬🇧 🇩🇪 🇨🇿 🇫🇮

Meteor, poloha: Bjerkvik 2019-10-16 19:03:14 UTC

Soubor KML  |  InteraktivnĂ­ mapa

Mapa zobrazuje dráhy meteoru. Světlejší čáry ukazují směry od pozorovacích stanic při objevení se meteoru a tmavší čáry, kde byl naposledy viděn. Modrá šipka značí viditelnou dráhu meteoru.

static map
height profile
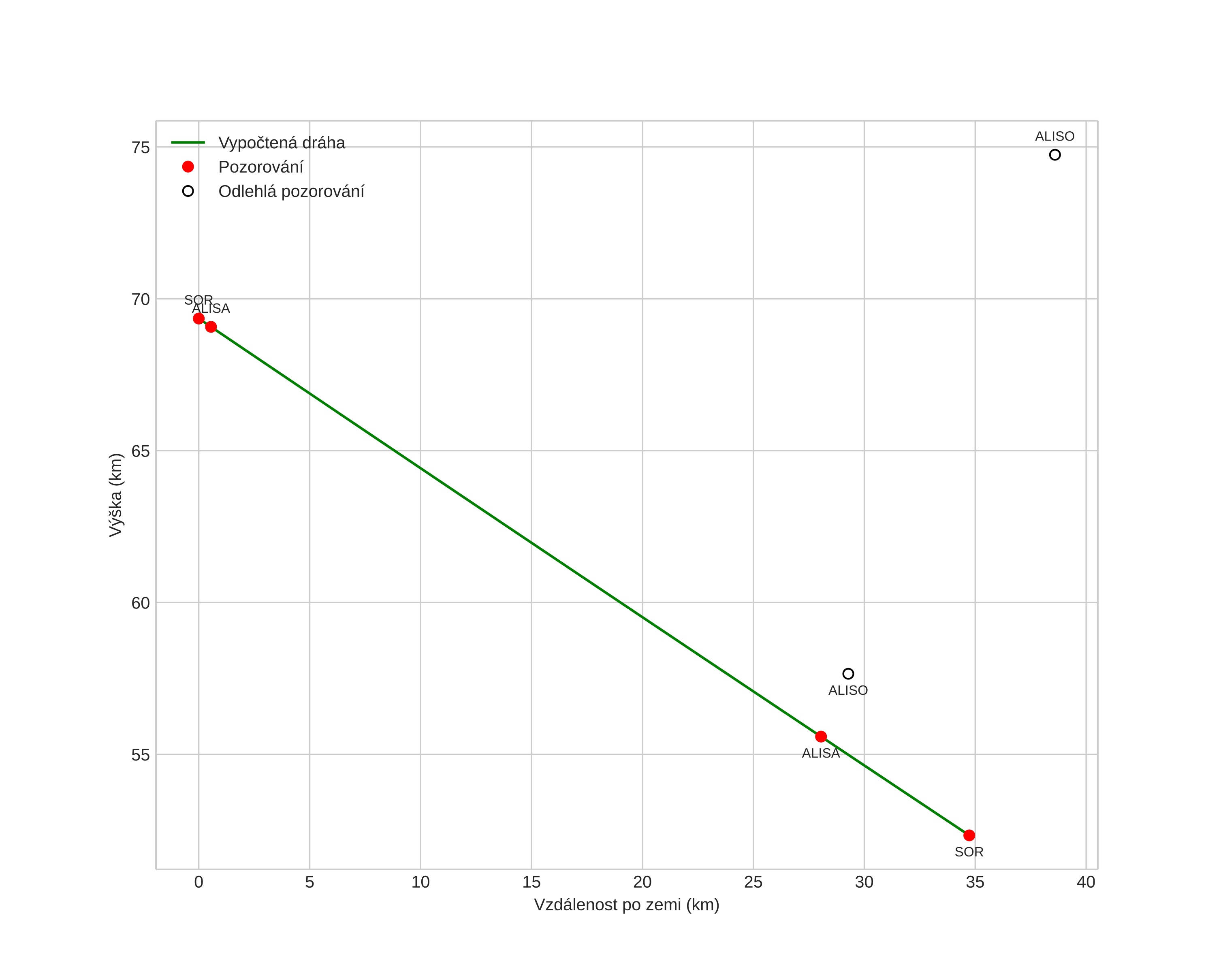
Atmosférická dráha meteoru:
Počáteční výška: 69,4 km
Konečná výška: 52,6 km
Počáteční poloha: 68,055N 18,755E
Konečná poloha: 68,094N 17,925E
Směr: 277,6°
Sklon: 25,8°
VstupnĂ­ rychlost: 21,7 km/s
Rektascenze radiantu: 02:57 (44,3°)
Deklinace radiantu: 16,0°
MeteorickĂ˝ roj: sporadickĂ˝
Elementy dráhy meteoroidu:
Vzdálenost v periheliu: 0,350 AU
Excentricita: 0,616
Sklon dráhy: 0,6°
Délka vzestupného uzlu: 22,9°
Argument perihelia: 134,5°
Střední anomálie: 296,2°
Epocha: 2019 OCT 16 19:03:14
orbit plot

NeinteraktivnĂ­ graf | InteraktivnĂ­ graf

position vs time
speed and acceleration