🇳🇴 🇬🇧 🇩🇪 🇨🇿 🇫🇮

Meteor Bjerkvikin yllä 2019-10-16 19:03:14 UTC

KML-tiedosto  |  Interaktiivinen kartta

Kartta näyttää meteorin suuntahavainnot. Vaaleammat viivat näyttävät suunnat havaintoasemilta meteorin ilmestyessä, ja tummemmat viivat näyttävät, missä se viimeksi nähtiin. Sininen nuoli näyttää meteorin näkyvän lennon.

static map
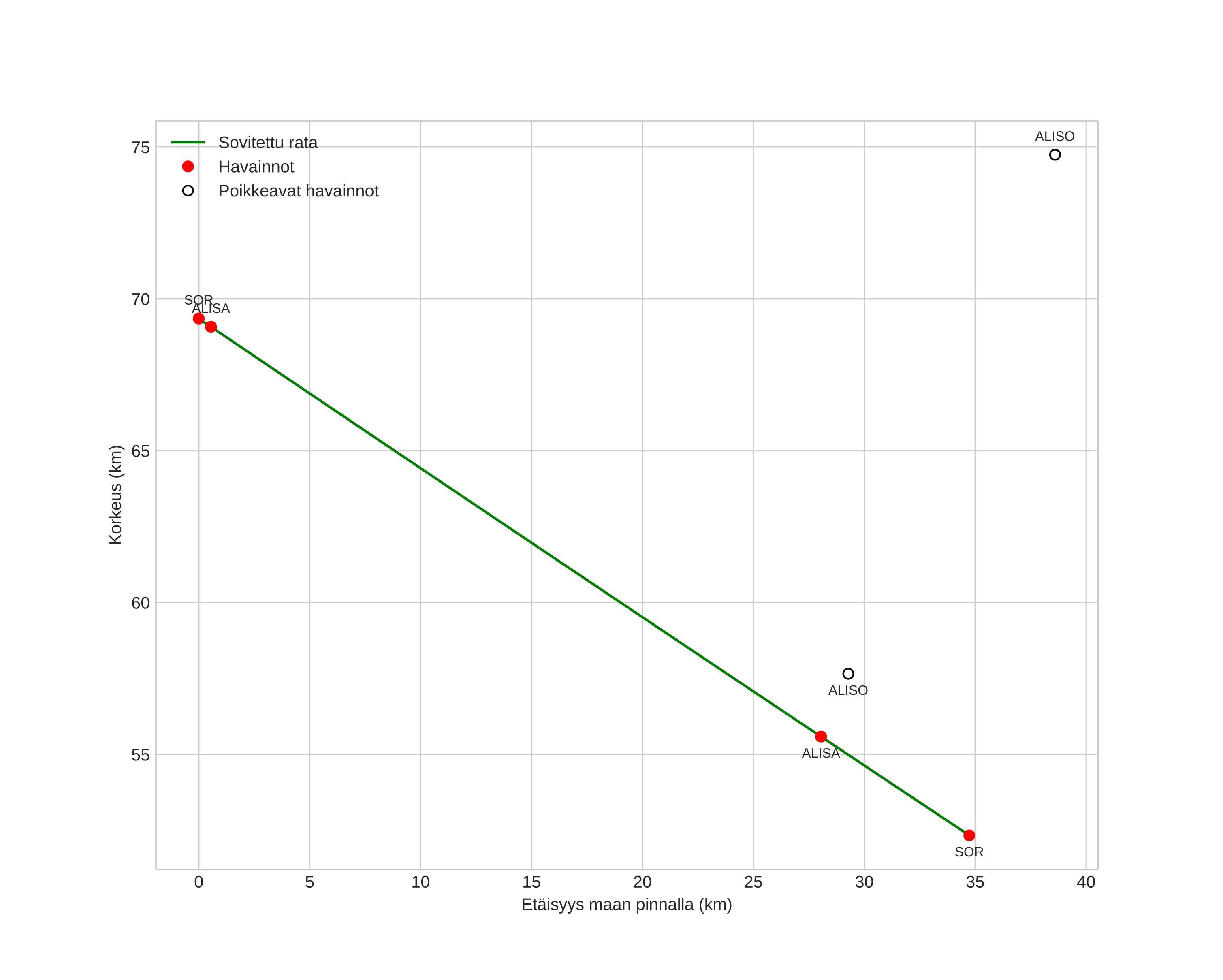
height profile
Meteorin ilmakehärata:
Alkukorkeus: 69,4 km
Loppukorkeus: 52,6 km
Alkupiste: 68,055N 18,755E
Loppupiste: 68,094N 17,925E
Suunta: 277,6°
Kallistuskulma: 25,8°
Tulonopeus: 21,7 km/s
Radiantin R,A,: 02:57 (44,3°)
Radiantin Dekl,: 16,0°
Meteoriparvi: Sporadinen
Meteoroidin rataelementit:
Perihelietäisyys: 0,350 AU
Eksentrisyys: 0,616
Inklinaatio: 0,6°
Nousevan solmun pituus: 22,9°
Perihelin argumentti: 134,5°
Keskianomalia: 296,2°
Epookki: 2019 OCT 16 19:03:14
orbit plot

Ei-interaktiivinen kuvaaja | Interaktiivinen kuvaaja

position vs time
speed and acceleration