🇳🇴 🇬🇧 🇩🇪 🇨🇿 🇫🇮

Meteor, poloha: Bjerkvik 2019-10-19 18:21:36 UTC

Soubor KML  |  InteraktivnĂ­ mapa

Mapa zobrazuje dráhy meteoru. Světlejší čáry ukazují směry od pozorovacích stanic při objevení se meteoru a tmavší čáry, kde byl naposledy viděn. Modrá šipka značí viditelnou dráhu meteoru.

static map
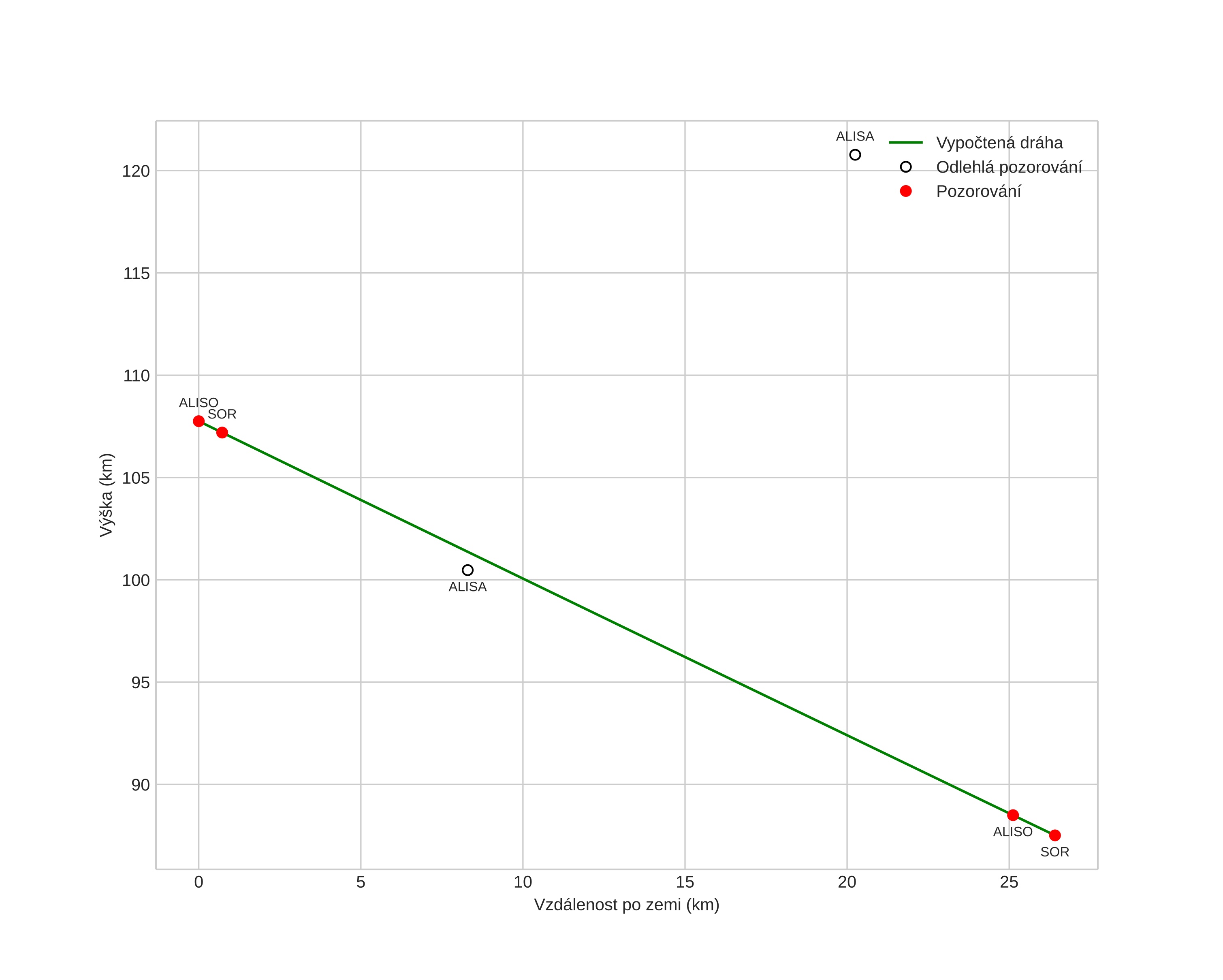
height profile
Atmosférická dráha meteoru:
Počáteční výška: 110,1 km
Konečná výška: 88,3 km
Počáteční poloha: 68,214N 17,993E
Konečná poloha: 67,958N 18,093E
Směr: 171,7°
Sklon: 37,2°
VstupnĂ­ rychlost: 60,6 km/s
Rektascenze radiantu: 10:15 (154,0°)
Deklinace radiantu: 58,3°
MeteorickĂ˝ roj: sporadickĂ˝
Elementy dráhy meteoroidu:
Vzdálenost v periheliu: 0,942 AU
Excentricita: 1,167
Sklon dráhy: 106,2°
Délka vzestupného uzlu: 205,8°
Argument perihelia: 154,1°
Střední anomálie: 1,2°
Epocha: 2019 OCT 19 18:21:36
orbit plot

NeinteraktivnĂ­ graf | InteraktivnĂ­ graf

position vs time
speed and acceleration