🇳🇴 🇬🇧 🇩🇪 🇨🇿 🇫🇮

Meteor Bjerkvikin yllä 2019-10-19 18:21:36 UTC

KML-tiedosto  |  Interaktiivinen kartta

Kartta näyttää meteorin suuntahavainnot. Vaaleammat viivat näyttävät suunnat havaintoasemilta meteorin ilmestyessä, ja tummemmat viivat näyttävät, missä se viimeksi nähtiin. Sininen nuoli näyttää meteorin näkyvän lennon.

static map
height profile
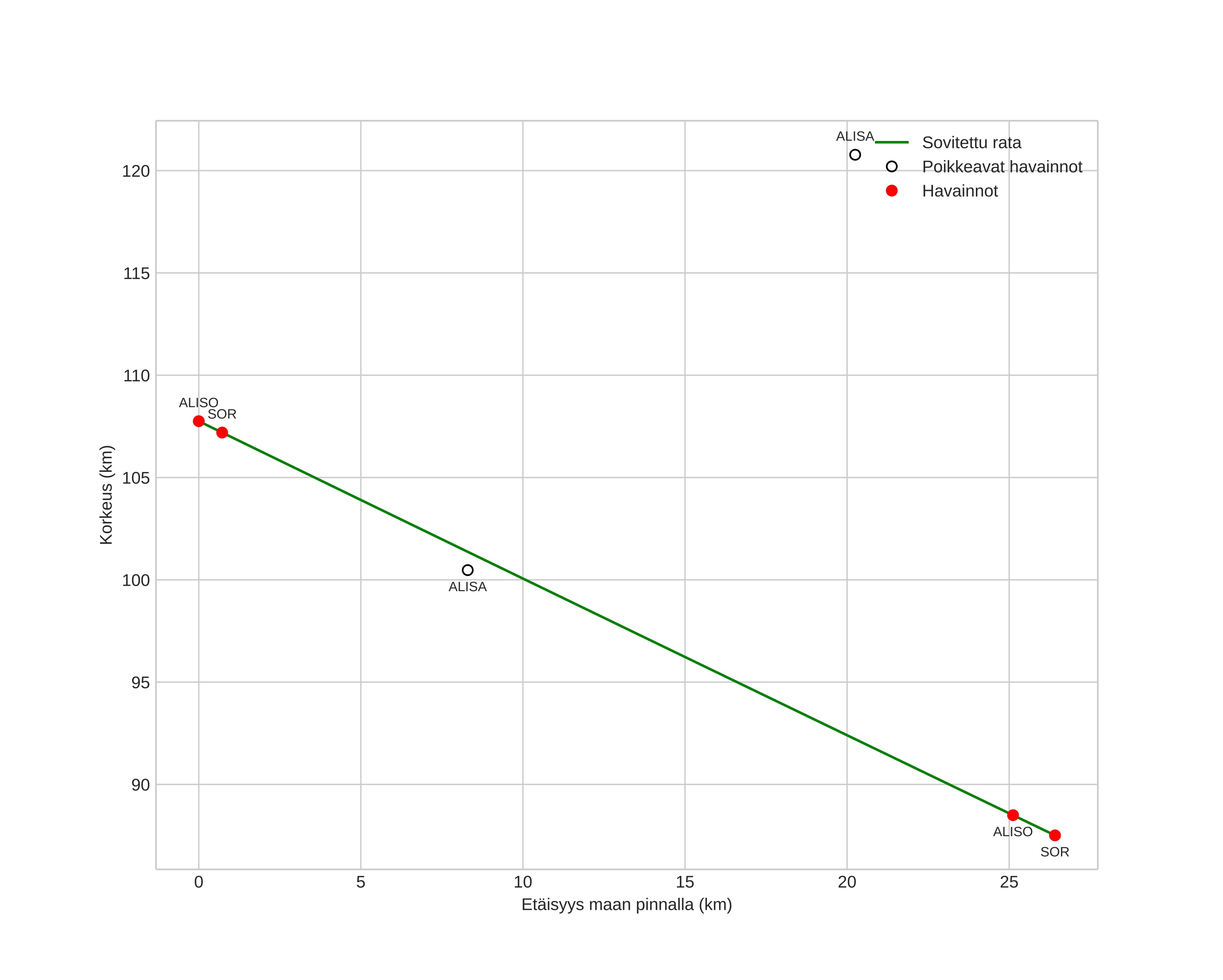
Meteorin ilmakehärata:
Alkukorkeus: 110,1 km
Loppukorkeus: 88,3 km
Alkupiste: 68,214N 17,993E
Loppupiste: 67,958N 18,093E
Suunta: 171,7°
Kallistuskulma: 37,2°
Tulonopeus: 60,6 km/s
Radiantin R,A,: 10:15 (154,0°)
Radiantin Dekl,: 58,3°
Meteoriparvi: Sporadinen
Meteoroidin rataelementit:
Perihelietäisyys: 0,942 AU
Eksentrisyys: 1,167
Inklinaatio: 106,2°
Nousevan solmun pituus: 205,8°
Perihelin argumentti: 154,1°
Keskianomalia: 1,2°
Epookki: 2019 OCT 19 18:21:36
orbit plot

Ei-interaktiivinen kuvaaja | Interaktiivinen kuvaaja

position vs time
speed and acceleration