🇳🇴 🇬🇧 🇩🇪 🇨🇿 🇫🇮

Meteor, poloha: Kiruna 2019-10-19 22:26:53 UTC

Soubor KML  |  InteraktivnĂ­ mapa

Mapa zobrazuje dráhy meteoru. Světlejší čáry ukazují směry od pozorovacích stanic při objevení se meteoru a tmavší čáry, kde byl naposledy viděn. Modrá šipka značí viditelnou dráhu meteoru.

static map
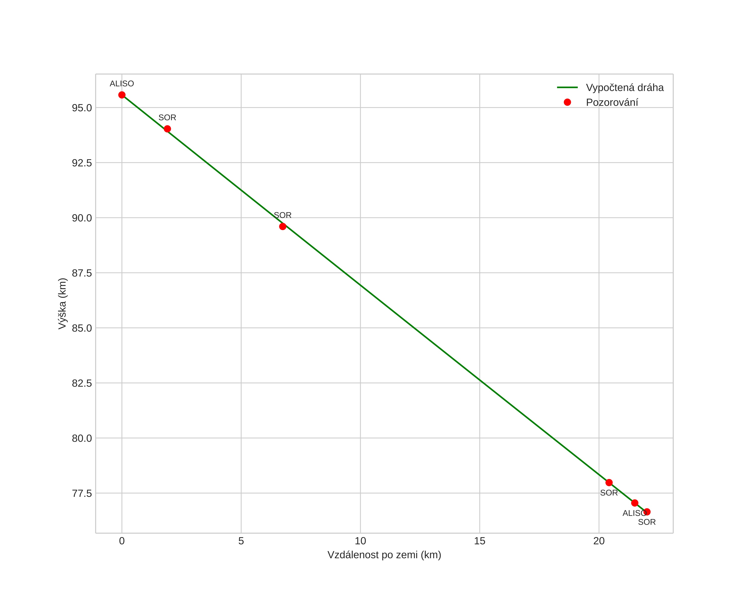
height profile
Atmosférická dráha meteoru:
Počáteční výška: 95,5 km
Konečná výška: 76,7 km
Počáteční poloha: 67,959N 21,194E
Konečná poloha: 68,141N 20,986E
Směr: 336,9°
Sklon: 40,5°
VstupnĂ­ rychlost: 37,5 km/s
Rektascenze radiantu: 02:56 (44,0°)
Deklinace radiantu: 18,6°
MeteorickĂ˝ roj: sporadickĂ˝
Elementy dráhy meteoroidu:
Vzdálenost v periheliu: 0,169 AU
Excentricita: 0,934
Sklon dráhy: 3,7°
Délka vzestupného uzlu: 205,9°
Argument perihelia: 316,0°
Střední anomálie: 351,3°
Epocha: 2019 OCT 19 22:26:53
orbit plot

NeinteraktivnĂ­ graf | InteraktivnĂ­ graf

position vs time
speed and acceleration