🇳🇴 🇬🇧 🇩🇪 🇨🇿 🇫🇮

Meteor Kirunan yllä 2019-10-19 22:26:53 UTC

KML-tiedosto  |  Interaktiivinen kartta

Kartta näyttää meteorin suuntahavainnot. Vaaleammat viivat näyttävät suunnat havaintoasemilta meteorin ilmestyessä, ja tummemmat viivat näyttävät, missä se viimeksi nähtiin. Sininen nuoli näyttää meteorin näkyvän lennon.

static map
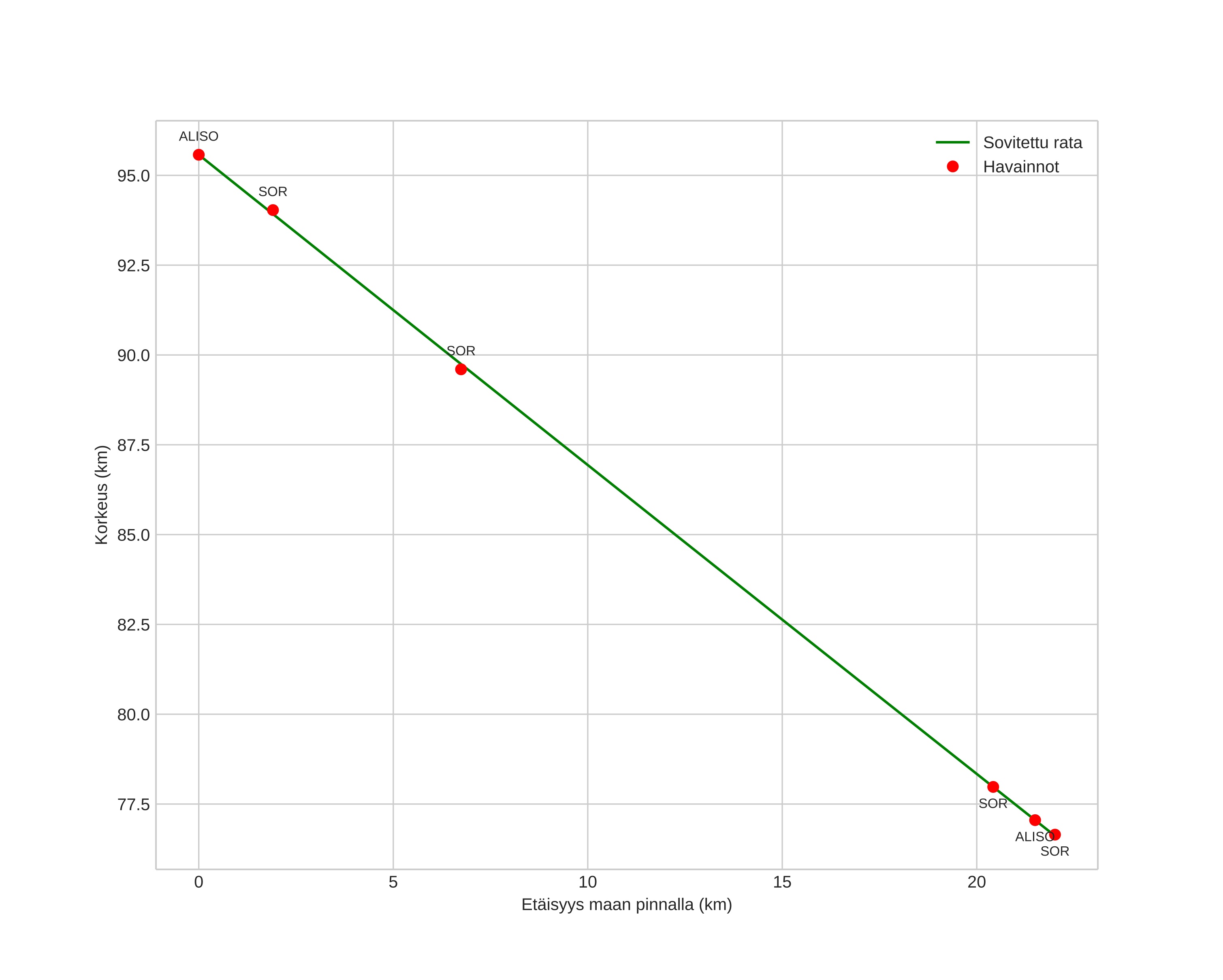
height profile
Meteorin ilmakehärata:
Alkukorkeus: 95,5 km
Loppukorkeus: 76,7 km
Alkupiste: 67,959N 21,194E
Loppupiste: 68,141N 20,986E
Suunta: 336,9°
Kallistuskulma: 40,5°
Tulonopeus: 37,5 km/s
Radiantin R,A,: 02:56 (44,0°)
Radiantin Dekl,: 18,6°
Meteoriparvi: Sporadinen
Meteoroidin rataelementit:
Perihelietäisyys: 0,169 AU
Eksentrisyys: 0,934
Inklinaatio: 3,7°
Nousevan solmun pituus: 205,9°
Perihelin argumentti: 316,0°
Keskianomalia: 351,3°
Epookki: 2019 OCT 19 22:26:53
orbit plot

Ei-interaktiivinen kuvaaja | Interaktiivinen kuvaaja

position vs time
speed and acceleration