🇳🇴 🇬🇧 🇩🇪 🇨🇿 🇫🇮

Meteor, poloha: Stryn 2019-10-23 22:50:37 UTC

Gran – 2
Gran – 2
Voksenlia – 2
Voksenlia – 2

Soubor KML  | Interaktivní mapa

map

Mapa zobrazuje dráhy meteoru. Světlejší čáry ukazují směry od pozorovacích stanic při objevení se meteoru a tmavší čáry, kde byl naposledy viděn. Modrá šipka značí viditelnou dráhu meteoru.

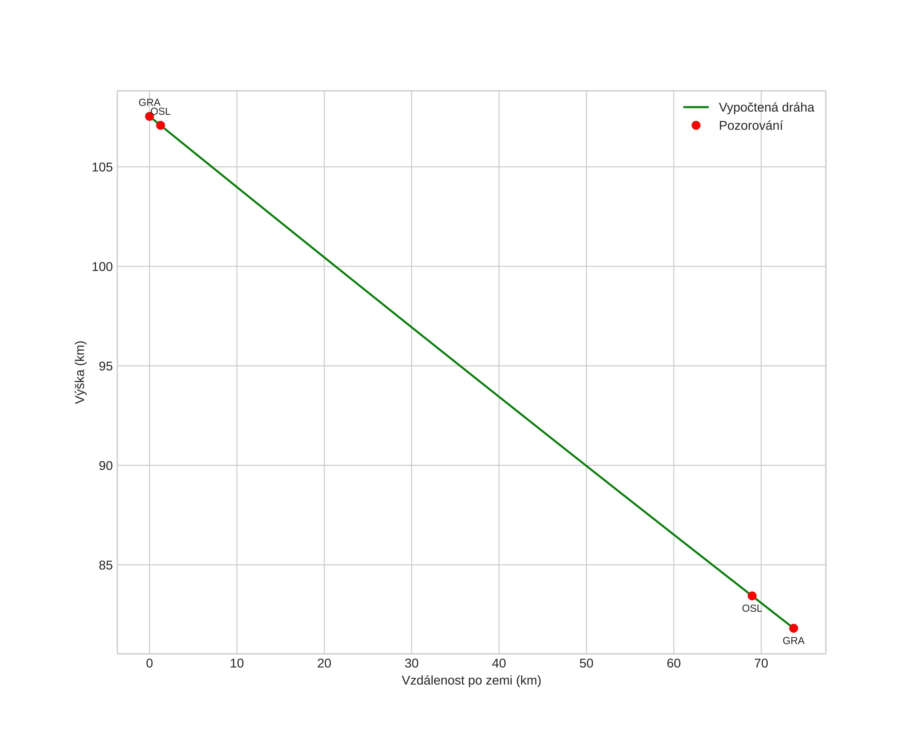
height profile
Atmosférická dráha meteoru:
Počáteční výška: 105,6 km
Konečná výška: 78,9 km
Počáteční poloha: 61,750N 7,757E
Konečná poloha: 61,796N 6,607E
Směr: 275,4°
Sklon: 23,7°
Vstupní rychlost: 64,7 km/s
Rektascenze radiantu: 06:23 (96,0°)
Deklinace radiantu: 17,8°
Meteorický roj: Orionidy
Elementy dráhy meteoroidu:
Vzdálenost v periheliu: 0,487 AU
Excentricita: 0,847
Sklon dráhy: 167,7°
Délka vzestupného uzlu: 30,0°
Argument perihelia: 96,6°
Střední anomálie: 352,6°
Epocha: 2019 OCT 23 22:50:37
orbit

Neinteraktivní graf | Interaktivní graf

position vs time
speed & acceleration