🇳🇴 🇬🇧 🇩🇪 🇨🇿 🇫🇮

Meteor über Stryn 2019-10-23 22:50:37 UTC

Gran – 2
Gran – 2
Voksenlia – 2
Voksenlia – 2

KML-Datei  | Interaktive Karte

map

Die Karte zeigt die Peilungen für den Meteor. Die helleren Linien zeigen die Richtungen von den Beobachtungsorten beim Erscheinen des Meteors, und die dunkleren Linien, wo er zuletzt gesehen wurde. Der blaue Pfeil zeigt die sichtbare Bahn des Meteors.

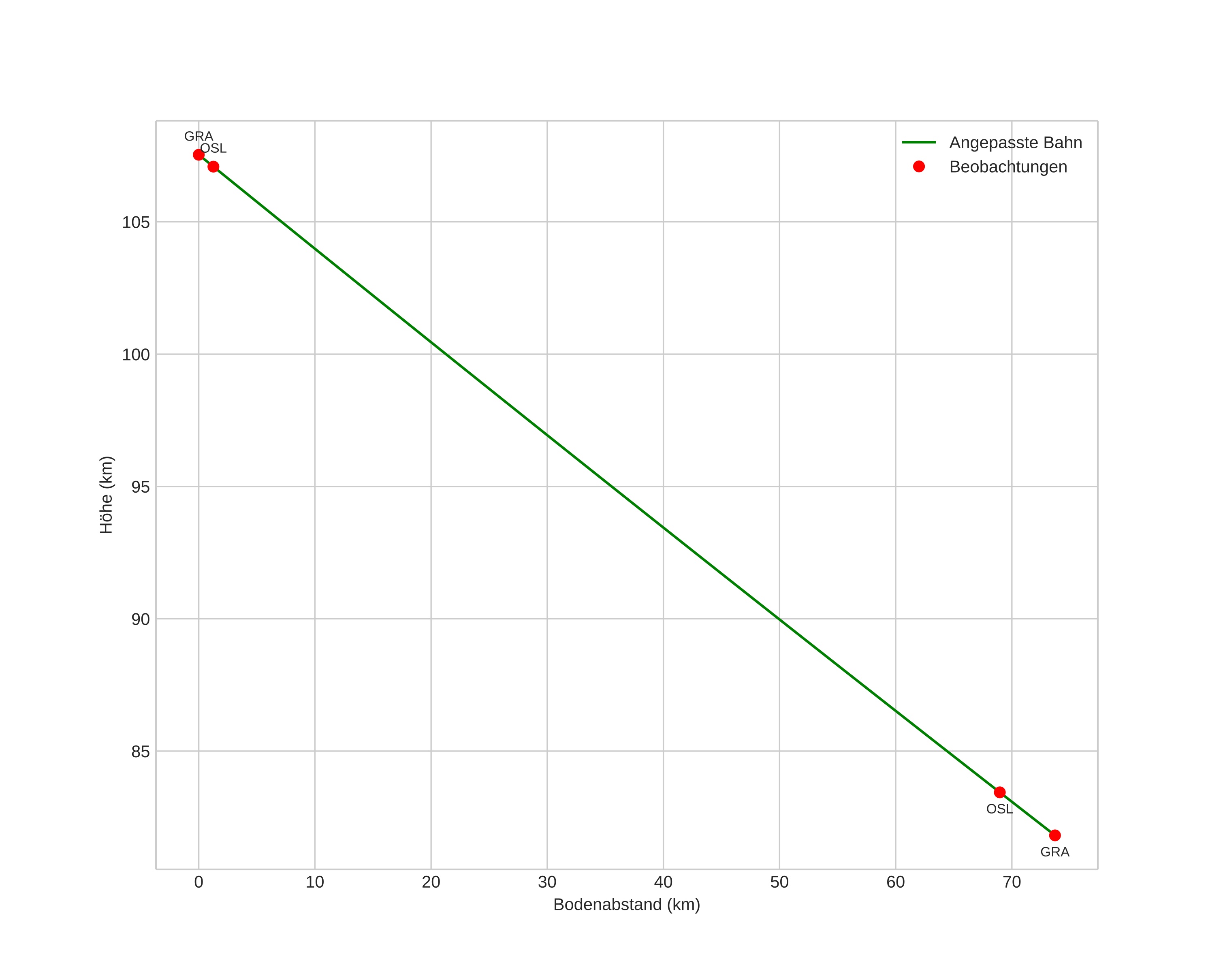
height profile
Atmosphärische Bahn des Meteors:
Anfangshöhe: 105,6 km
Endhöhe: 78,9 km
Startposition: 61,750N 7,757E
Endposition: 61,796N 6,607E
Richtung: 275,4°
Neigungswinkel: 23,7°
Eintrittsgeschwindigkeit: 64,7 km/s
Rektaszension des Radianten: 06:23 (96,0°)
Deklination des Radianten: 17,8°
Meteorstrom: Orioniden
Bahnelemente des Meteoroiden:
Periheldistanz: 0,487 AU
Exzentrizität: 0,847
Inklination: 167,7°
Länge des aufsteigenden Knotens: 30,0°
Argument des Perihels: 96,6°
Mittlere Anomalie: 352,6°
Epoche: 2019 OCT 23 22:50:37
orbit

Nicht-interaktives Diagramm | Interaktives Diagramm

position vs time
speed & acceleration