🇳🇴 🇬🇧 🇩🇪 🇨🇿 🇫🇮

Meteor, poloha: Ă…re 2019-10-26 02:20:18 UTC

Soubor KML  |  InteraktivnĂ­ mapa

Mapa zobrazuje dráhy meteoru. Světlejší čáry ukazují směry od pozorovacích stanic při objevení se meteoru a tmavší čáry, kde byl naposledy viděn. Modrá šipka značí viditelnou dráhu meteoru.

static map
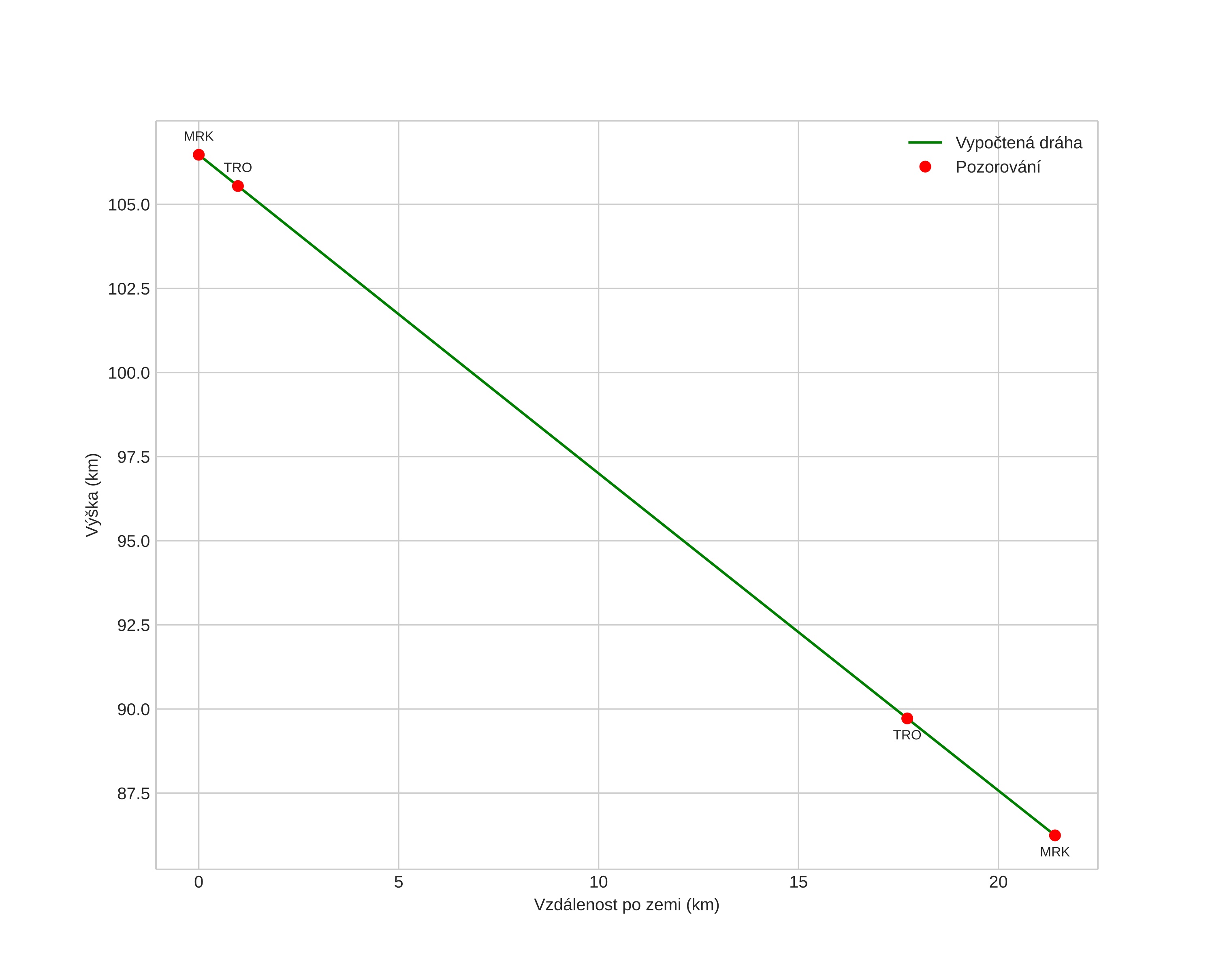
height profile
Atmosférická dráha meteoru:
Počáteční výška: 107,2 km
Konečná výška: 86,8 km
Počáteční poloha: 62,229N 12,946E
Konečná poloha: 62,411N 12,807E
Směr: 340,6°
Sklon: 43,5°
VstupnĂ­ rychlost: 58,9 km/s
Rektascenze radiantu: 06:24 (96,2°)
Deklinace radiantu: 16,4°
MeteorickĂ˝ roj: Orionidy
Elementy dráhy meteoroidu:
Vzdálenost v periheliu: 0,322 AU
Excentricita: 0,778
Sklon dráhy: 162,2°
Délka vzestupného uzlu: 32,1°
Argument perihelia: 123,0°
Střední anomálie: 334,6°
Epocha: 2019 OCT 26 02:20:18
orbit plot

NeinteraktivnĂ­ graf | InteraktivnĂ­ graf

position vs time
speed and acceleration