🇳🇴 🇬🇧 🇩🇪 🇨🇿 🇫🇮

Meteor Åren yllä 2019-10-26 02:20:18 UTC

KML-tiedosto  |  Interaktiivinen kartta

Kartta näyttää meteorin suuntahavainnot. Vaaleammat viivat näyttävät suunnat havaintoasemilta meteorin ilmestyessä, ja tummemmat viivat näyttävät, missä se viimeksi nähtiin. Sininen nuoli näyttää meteorin näkyvän lennon.

static map
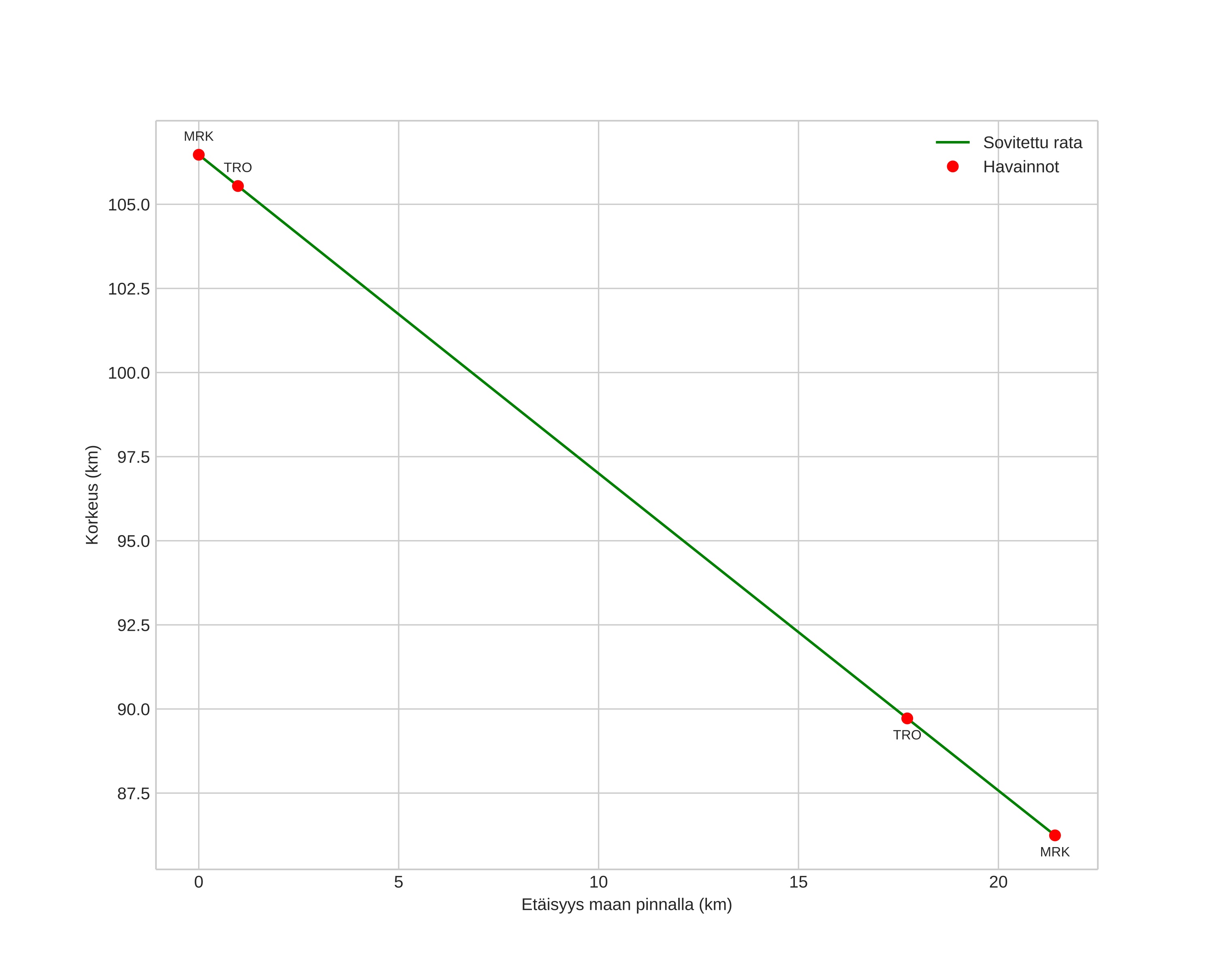
height profile
Meteorin ilmakehärata:
Alkukorkeus: 107,2 km
Loppukorkeus: 86,8 km
Alkupiste: 62,229N 12,946E
Loppupiste: 62,411N 12,807E
Suunta: 340,6°
Kallistuskulma: 43,5°
Tulonopeus: 58,9 km/s
Radiantin R,A,: 06:24 (96,2°)
Radiantin Dekl,: 16,4°
Meteoriparvi: Orionidit
Meteoroidin rataelementit:
Perihelietäisyys: 0,322 AU
Eksentrisyys: 0,778
Inklinaatio: 162,2°
Nousevan solmun pituus: 32,1°
Perihelin argumentti: 123,0°
Keskianomalia: 334,6°
Epookki: 2019 OCT 26 02:20:18
orbit plot

Ei-interaktiivinen kuvaaja | Interaktiivinen kuvaaja

position vs time
speed and acceleration