🇳🇴 🇬🇧 🇩🇪 🇨🇿 🇫🇮

Meteor, poloha: Sveg 2019-10-26 22:06:28 UTC

Soubor KML  |  InteraktivnĂ­ mapa

Mapa zobrazuje dráhy meteoru. Světlejší čáry ukazují směry od pozorovacích stanic při objevení se meteoru a tmavší čáry, kde byl naposledy viděn. Modrá šipka značí viditelnou dráhu meteoru.

static map
height profile
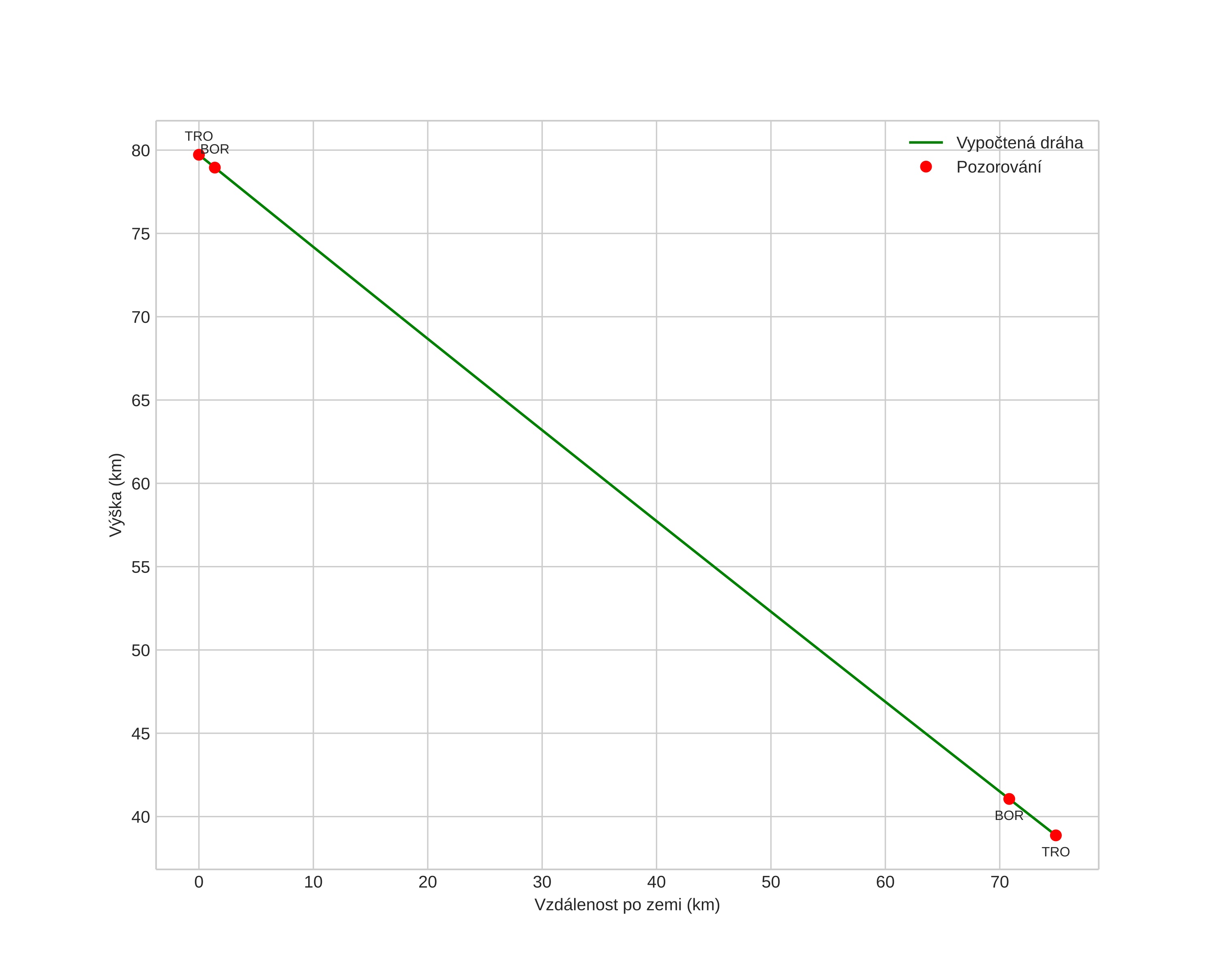
Atmosférická dráha meteoru:
Počáteční výška: 80,8 km
Konečná výška: 39,9 km
Počáteční poloha: 61,072N 14,348E
Konečná poloha: 61,731N 13,998E
Směr: 345,9°
Sklon: 28,4°
VstupnĂ­ rychlost: 21,4 km/s
Rektascenze radiantu: 02:12 (33,0°)
Deklinace radiantu: -5,2°
MeteorickĂ˝ roj: sporadickĂ˝
Elementy dráhy meteoroidu:
Vzdálenost v periheliu: 0,679 AU
Excentricita: 0,644
Sklon dráhy: 9,9°
Délka vzestupného uzlu: 32,9°
Argument perihelia: 79,1°
Střední anomálie: 342,7°
Epocha: 2019 OCT 26 22:06:28
orbit plot

NeinteraktivnĂ­ graf | InteraktivnĂ­ graf

position vs time
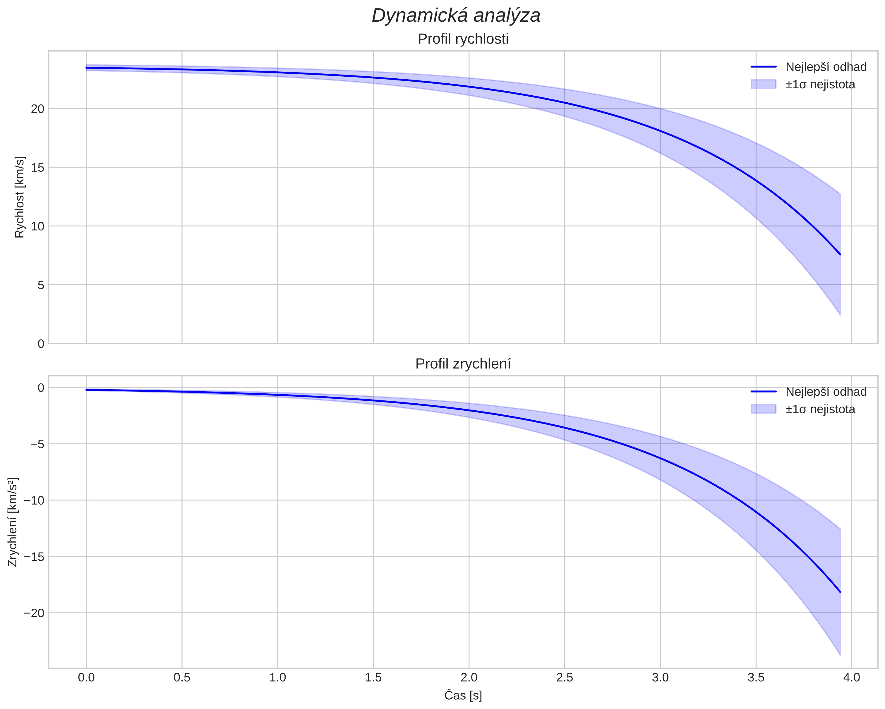
speed and acceleration