🇳🇴 🇬🇧 🇩🇪 🇨🇿 🇫🇮

Meteor Svegin yllä 2019-10-26 22:06:28 UTC

KML-tiedosto  |  Interaktiivinen kartta

Kartta näyttää meteorin suuntahavainnot. Vaaleammat viivat näyttävät suunnat havaintoasemilta meteorin ilmestyessä, ja tummemmat viivat näyttävät, missä se viimeksi nähtiin. Sininen nuoli näyttää meteorin näkyvän lennon.

static map
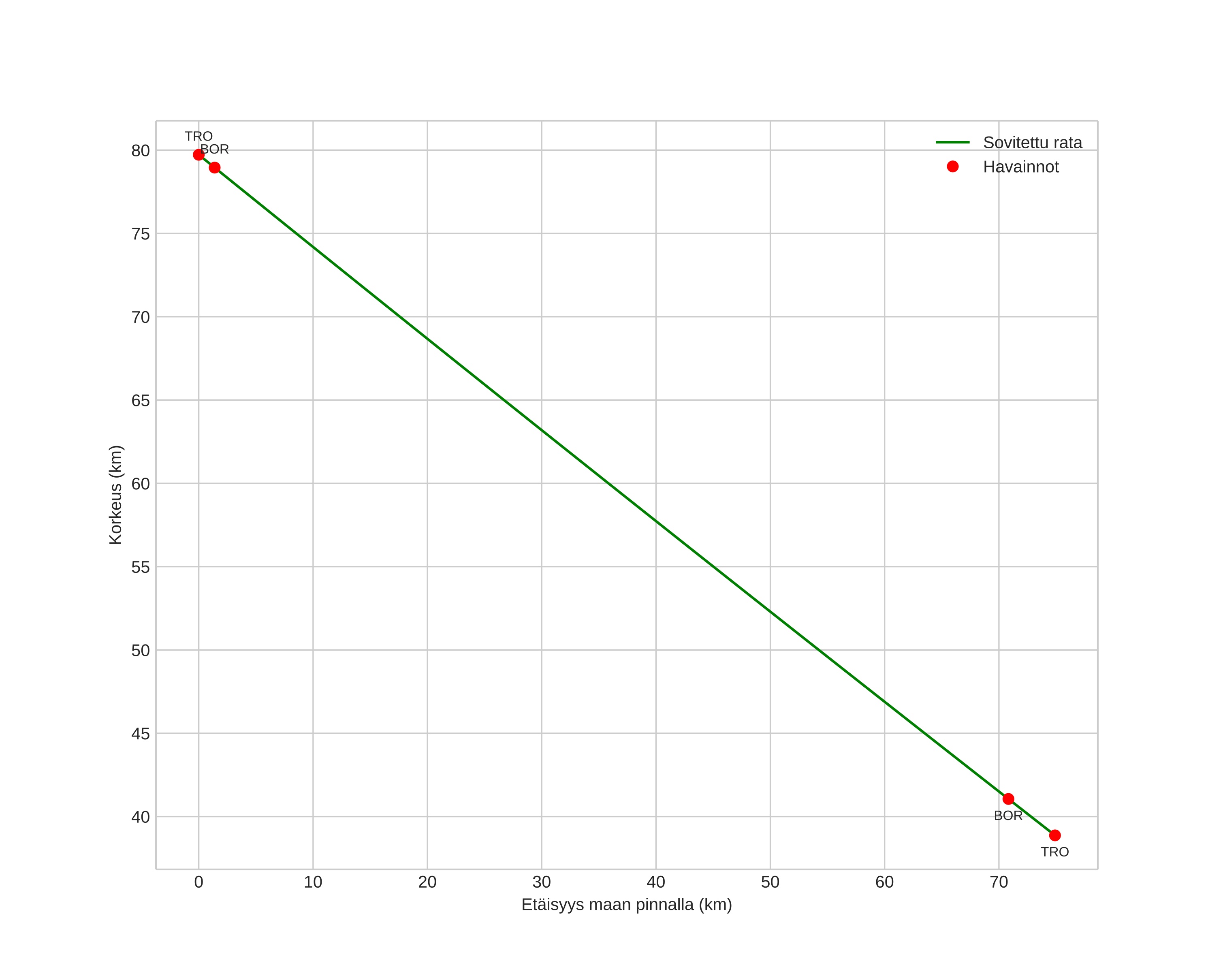
height profile
Meteorin ilmakehärata:
Alkukorkeus: 80,8 km
Loppukorkeus: 39,9 km
Alkupiste: 61,072N 14,348E
Loppupiste: 61,731N 13,998E
Suunta: 345,9°
Kallistuskulma: 28,4°
Tulonopeus: 21,4 km/s
Radiantin R,A,: 02:12 (33,0°)
Radiantin Dekl,: -5,2°
Meteoriparvi: Sporadinen
Meteoroidin rataelementit:
Perihelietäisyys: 0,679 AU
Eksentrisyys: 0,644
Inklinaatio: 9,9°
Nousevan solmun pituus: 32,9°
Perihelin argumentti: 79,1°
Keskianomalia: 342,7°
Epookki: 2019 OCT 26 22:06:28
orbit plot

Ei-interaktiivinen kuvaaja | Interaktiivinen kuvaaja

position vs time
speed and acceleration