🇳🇴 🇬🇧 🇩🇪 🇨🇿 🇫🇮

Meteor, poloha: Skjønhaug 2019-10-27 20:35:24 UTC

Soubor KML  |  InteraktivnĂ­ mapa

Mapa zobrazuje dráhy meteoru. Světlejší čáry ukazují směry od pozorovacích stanic při objevení se meteoru a tmavší čáry, kde byl naposledy viděn. Modrá šipka značí viditelnou dráhu meteoru.

static map
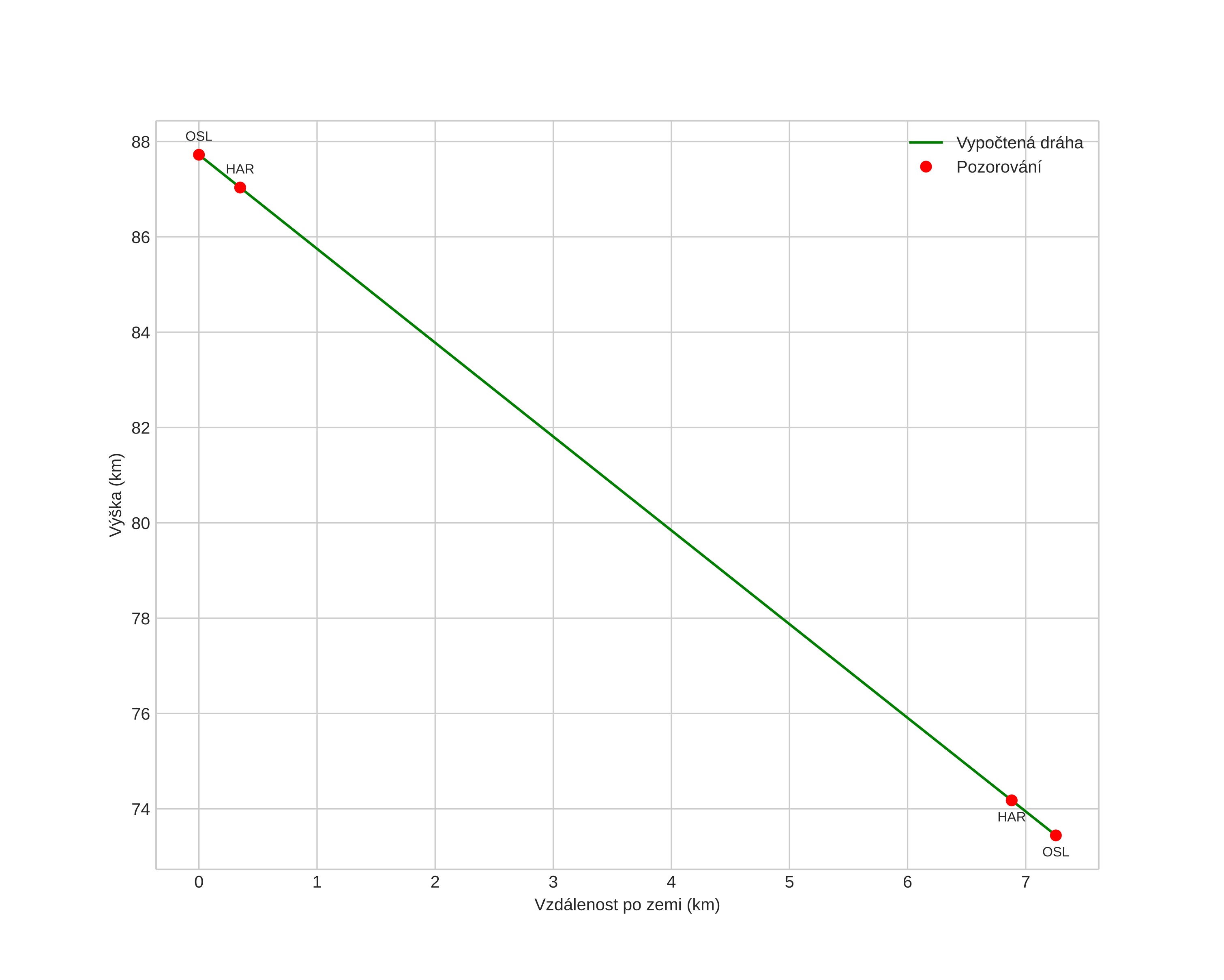
height profile
Atmosférická dráha meteoru:
Počáteční výška: 90,8 km
Konečná výška: 75,5 km
Počáteční poloha: 59,724N 11,224E
Konečná poloha: 59,659N 11,318E
Směr: 143,9°
Sklon: 59,7°
VstupnĂ­ rychlost: 26,5 km/s
Rektascenze radiantu: 18:28 (277,2°)
Deklinace radiantu: 71,0°
MeteorickĂ˝ roj: sporadickĂ˝
Elementy dráhy meteoroidu:
Vzdálenost v periheliu: 0,989 AU
Excentricita: 0,593
Sklon dráhy: 39,7°
Délka vzestupného uzlu: 213,9°
Argument perihelia: 189,6°
Střední anomálie: 358,0°
Epocha: 2019 OCT 27 20:35:24
orbit plot

NeinteraktivnĂ­ graf | InteraktivnĂ­ graf

position vs time
speed and acceleration