🇳🇴 🇬🇧 🇩🇪 🇨🇿 🇫🇮

Meteor Skjønhaugin yllä 2019-10-27 20:35:24 UTC

KML-tiedosto  |  Interaktiivinen kartta

Kartta näyttää meteorin suuntahavainnot. Vaaleammat viivat näyttävät suunnat havaintoasemilta meteorin ilmestyessä, ja tummemmat viivat näyttävät, missä se viimeksi nähtiin. Sininen nuoli näyttää meteorin näkyvän lennon.

static map
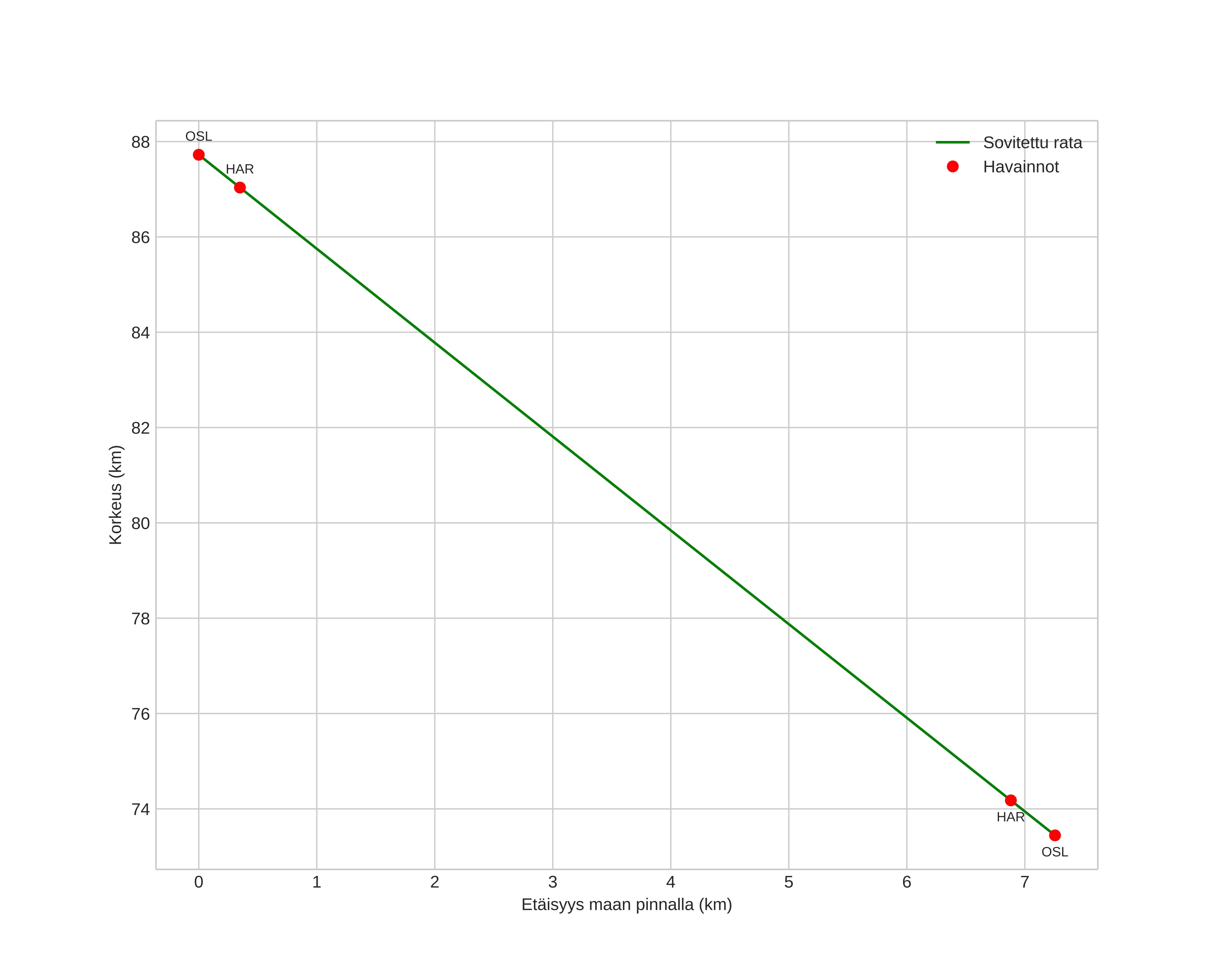
height profile
Meteorin ilmakehärata:
Alkukorkeus: 90,8 km
Loppukorkeus: 75,5 km
Alkupiste: 59,724N 11,224E
Loppupiste: 59,659N 11,318E
Suunta: 143,9°
Kallistuskulma: 59,7°
Tulonopeus: 26,5 km/s
Radiantin R,A,: 18:28 (277,2°)
Radiantin Dekl,: 71,0°
Meteoriparvi: Sporadinen
Meteoroidin rataelementit:
Perihelietäisyys: 0,989 AU
Eksentrisyys: 0,593
Inklinaatio: 39,7°
Nousevan solmun pituus: 213,9°
Perihelin argumentti: 189,6°
Keskianomalia: 358,0°
Epookki: 2019 OCT 27 20:35:24
orbit plot

Ei-interaktiivinen kuvaaja | Interaktiivinen kuvaaja

position vs time
speed and acceleration