🇳🇴 🇬🇧 🇩🇪 🇨🇿 🇫🇮

Meteor, poloha: Lyngseidet 2019-10-27 23:21:05 UTC

Soubor KML  |  InteraktivnĂ­ mapa

Mapa zobrazuje dráhy meteoru. Světlejší čáry ukazují směry od pozorovacích stanic při objevení se meteoru a tmavší čáry, kde byl naposledy viděn. Modrá šipka značí viditelnou dráhu meteoru.

static map
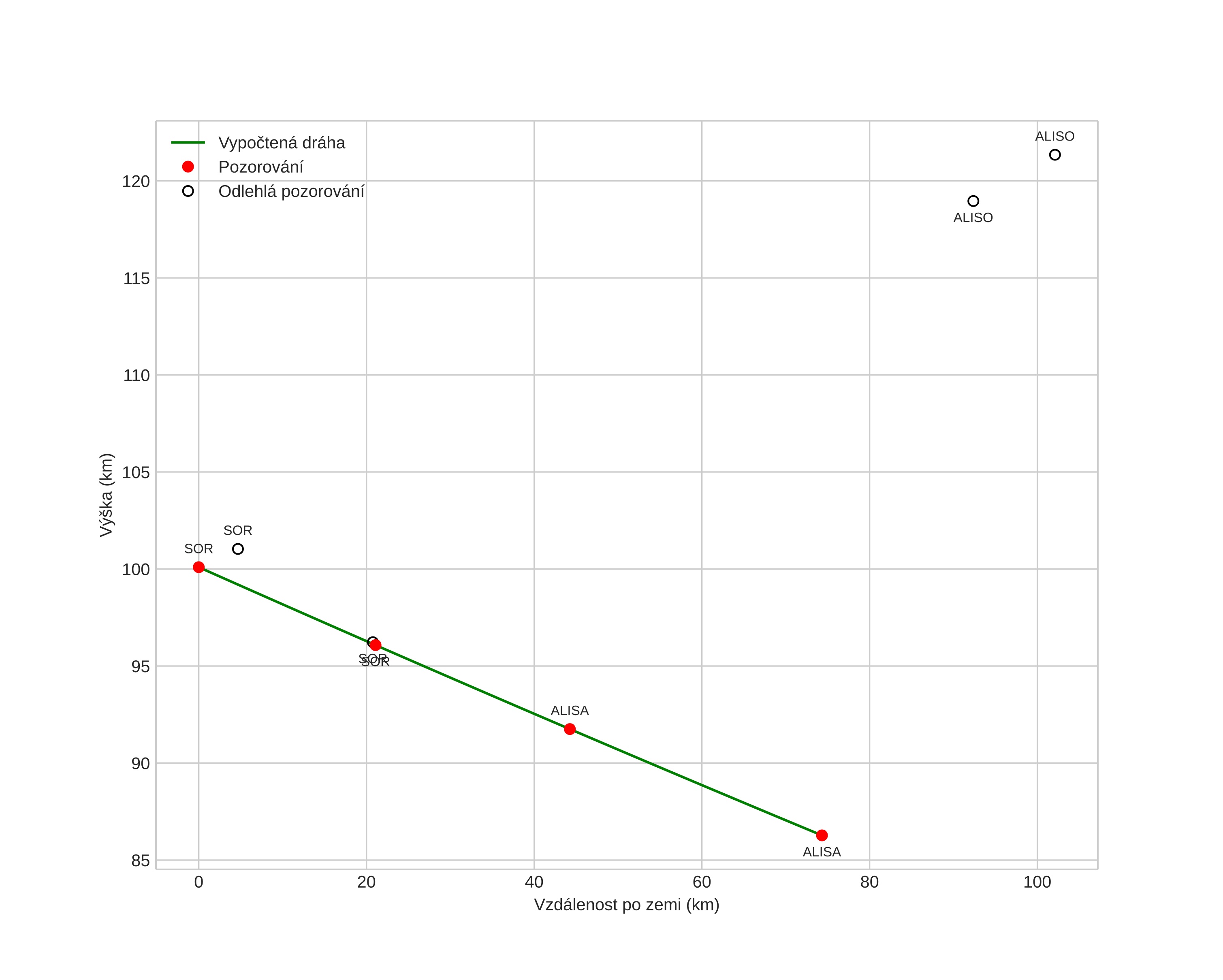
height profile
Atmosférická dráha meteoru:
Počáteční výška: 100,8 km
Konečná výška: 86,4 km
Počáteční poloha: 68,828N 19,950E
Konečná poloha: 69,540N 19,976E
Směr: 0,7°
Sklon: 10,3°
VstupnĂ­ rychlost: 34,5 km/s
Rektascenze radiantu: 02:59 (44,9°)
Deklinace radiantu: -13,5°
MeteorickĂ˝ roj: sporadickĂ˝
Elementy dráhy meteoroidu:
Vzdálenost v periheliu: 0,562 AU
Excentricita: 1,056
Sklon dráhy: 29,6°
Délka vzestupného uzlu: 34,0°
Argument perihelia: 81,1°
Střední anomálie: -1,1°
Epocha: 2019 OCT 27 23:21:05
orbit plot

NeinteraktivnĂ­ graf | InteraktivnĂ­ graf

position vs time
speed and acceleration