🇳🇴 🇬🇧 🇩🇪 🇨🇿 🇫🇮

Meteor Lyngseidetin yllä 2019-10-27 23:21:05 UTC

KML-tiedosto  |  Interaktiivinen kartta

Kartta näyttää meteorin suuntahavainnot. Vaaleammat viivat näyttävät suunnat havaintoasemilta meteorin ilmestyessä, ja tummemmat viivat näyttävät, missä se viimeksi nähtiin. Sininen nuoli näyttää meteorin näkyvän lennon.

static map
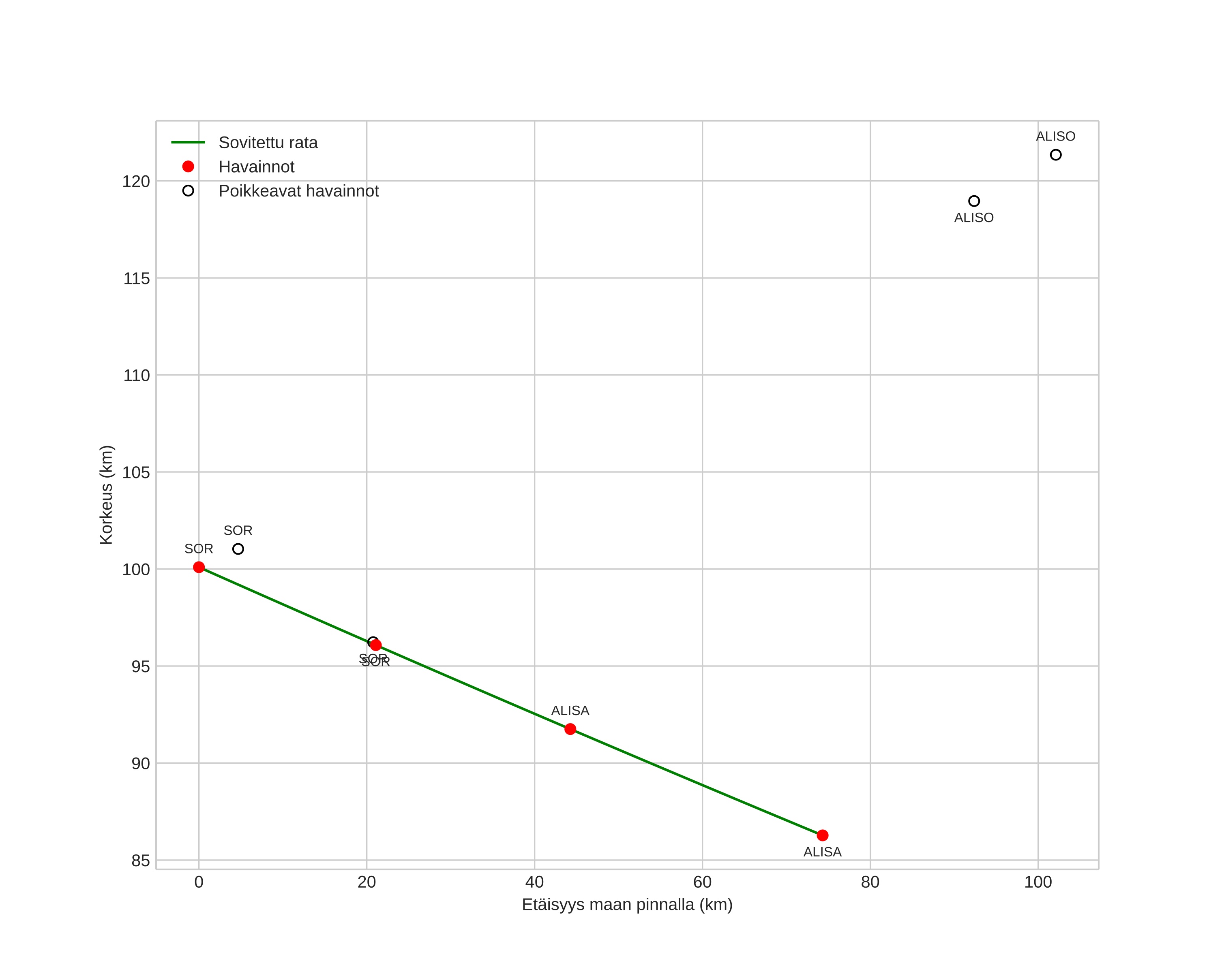
height profile
Meteorin ilmakehärata:
Alkukorkeus: 100,8 km
Loppukorkeus: 86,4 km
Alkupiste: 68,828N 19,950E
Loppupiste: 69,540N 19,976E
Suunta: 0,7°
Kallistuskulma: 10,3°
Tulonopeus: 34,5 km/s
Radiantin R,A,: 02:59 (44,9°)
Radiantin Dekl,: -13,5°
Meteoriparvi: Sporadinen
Meteoroidin rataelementit:
Perihelietäisyys: 0,562 AU
Eksentrisyys: 1,056
Inklinaatio: 29,6°
Nousevan solmun pituus: 34,0°
Perihelin argumentti: 81,1°
Keskianomalia: -1,1°
Epookki: 2019 OCT 27 23:21:05
orbit plot

Ei-interaktiivinen kuvaaja | Interaktiivinen kuvaaja

position vs time
speed and acceleration