🇳🇴 🇬🇧 🇩🇪 🇨🇿 🇫🇮

Meteor, poloha: Innbygda 2019-11-04 03:17:29 UTC

Soubor KML  |  InteraktivnĂ­ mapa

Mapa zobrazuje dráhy meteoru. Světlejší čáry ukazují směry od pozorovacích stanic při objevení se meteoru a tmavší čáry, kde byl naposledy viděn. Modrá šipka značí viditelnou dráhu meteoru.

static map
height profile
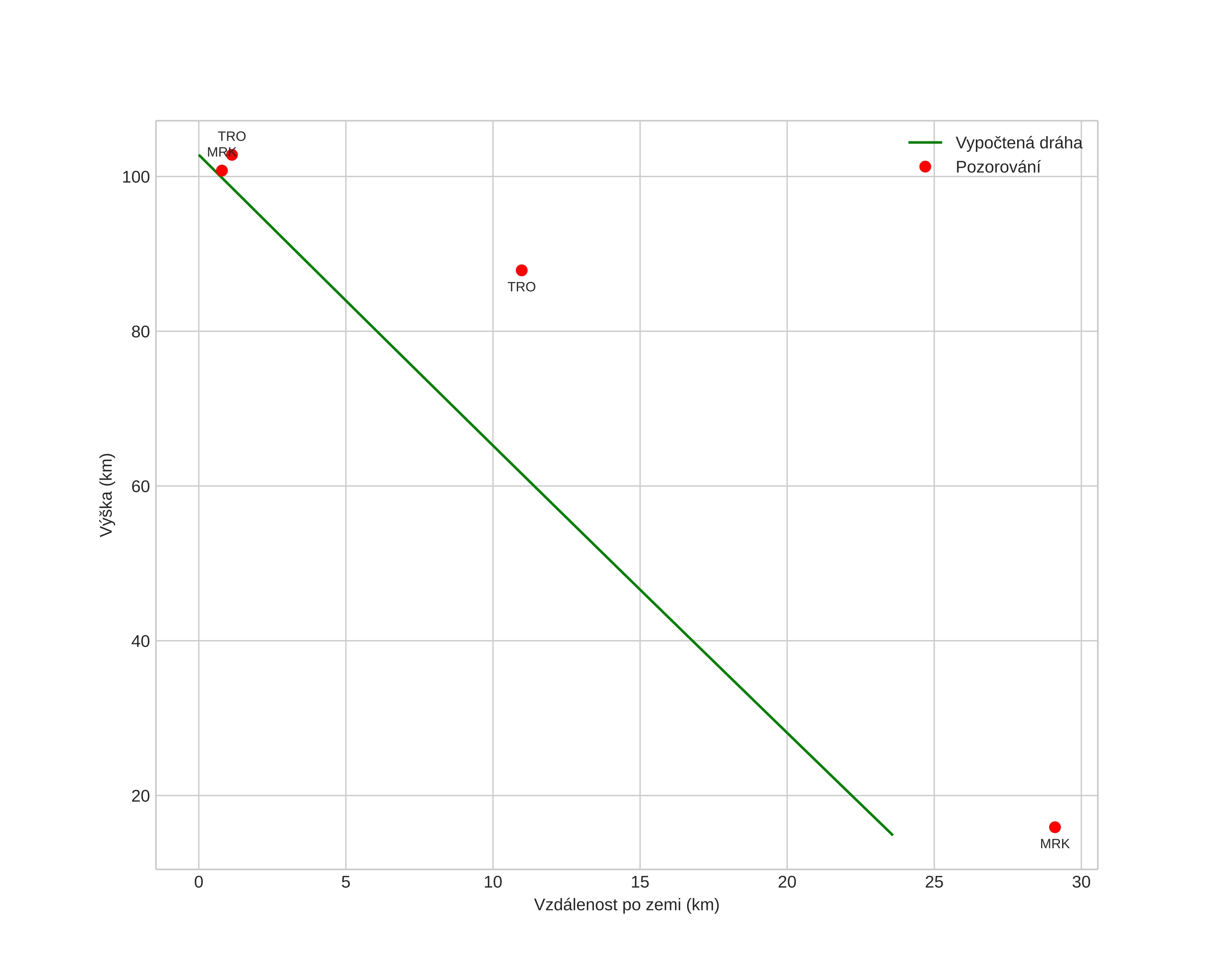
Atmosférická dráha meteoru:
Počáteční výška: 103,7 km
Konečná výška: 14,6 km
Počáteční poloha: 61,183N 12,342E
Konečná poloha: 60,998N 12,482E
Směr: 159,9°
Sklon: 76,2°
VstupnĂ­ rychlost: 41,1 km/s
Rektascenze radiantu: 05:43 (85,8°)
Deklinace radiantu: 73,5°
MeteorickĂ˝ roj: sporadickĂ˝
Elementy dráhy meteoroidu:
Vzdálenost v periheliu: 0,700 AU
Excentricita: 0,669
Sklon dráhy: 69,4°
Délka vzestupného uzlu: 221,1°
Argument perihelia: 254,6°
Střední anomálie: 345,8°
Epocha: 2019 NOV 04 03:17:29
orbit plot

NeinteraktivnĂ­ graf | InteraktivnĂ­ graf

position vs time
speed and acceleration