🇳🇴 🇬🇧 🇩🇪 🇨🇿 🇫🇮

Meteor Innbygdan yllä 2019-11-04 03:17:29 UTC

KML-tiedosto  |  Interaktiivinen kartta

Kartta näyttää meteorin suuntahavainnot. Vaaleammat viivat näyttävät suunnat havaintoasemilta meteorin ilmestyessä, ja tummemmat viivat näyttävät, missä se viimeksi nähtiin. Sininen nuoli näyttää meteorin näkyvän lennon.

static map
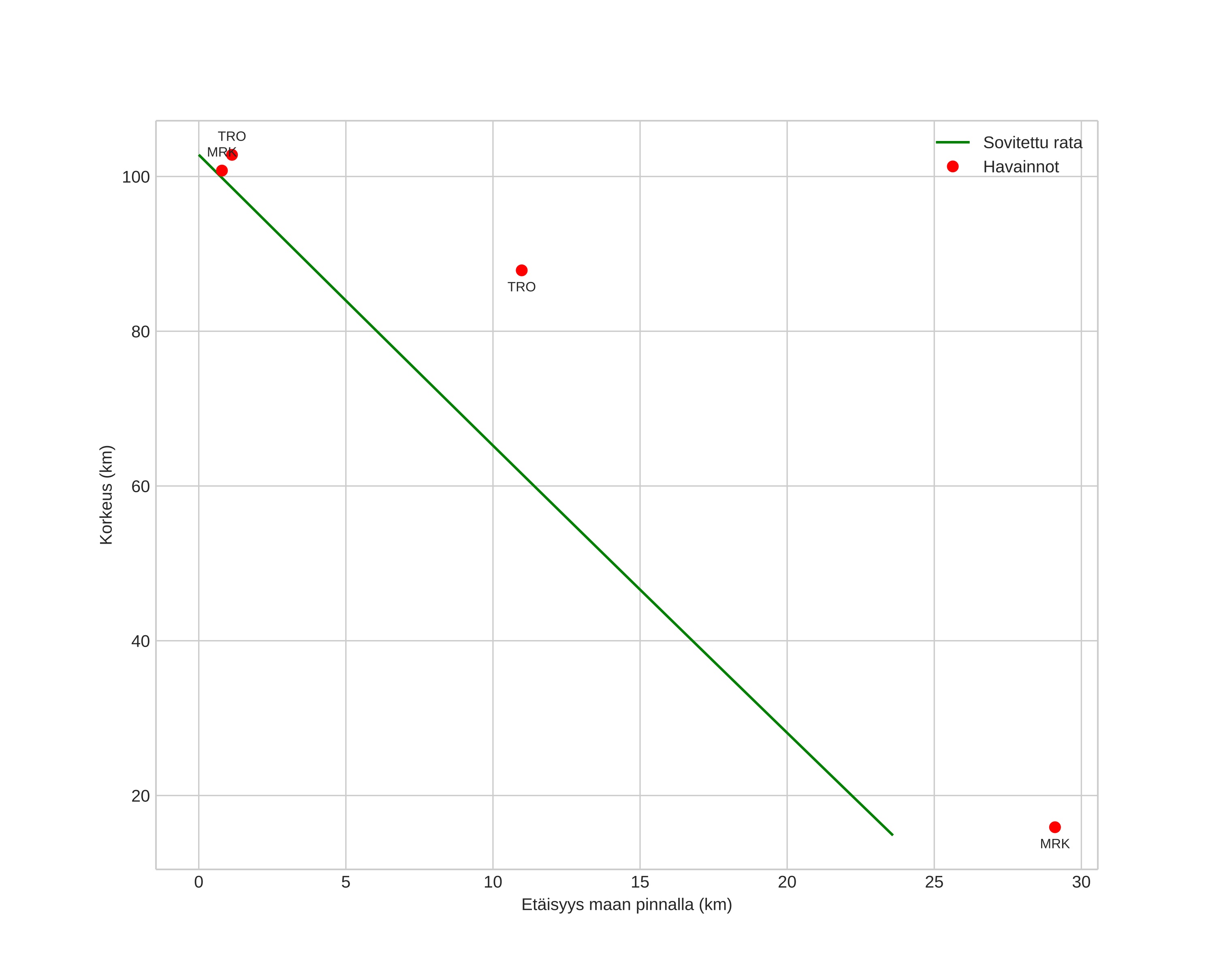
height profile
Meteorin ilmakehärata:
Alkukorkeus: 103,7 km
Loppukorkeus: 14,6 km
Alkupiste: 61,183N 12,342E
Loppupiste: 60,998N 12,482E
Suunta: 159,9°
Kallistuskulma: 76,2°
Tulonopeus: 41,1 km/s
Radiantin R,A,: 05:43 (85,8°)
Radiantin Dekl,: 73,5°
Meteoriparvi: Sporadinen
Meteoroidin rataelementit:
Perihelietäisyys: 0,700 AU
Eksentrisyys: 0,669
Inklinaatio: 69,4°
Nousevan solmun pituus: 221,1°
Perihelin argumentti: 254,6°
Keskianomalia: 345,8°
Epookki: 2019 NOV 04 03:17:29
orbit plot

Ei-interaktiivinen kuvaaja | Interaktiivinen kuvaaja

position vs time
speed and acceleration