🇳🇴 🇬🇧 🇩🇪 🇨🇿 🇫🇮

Meteor, poloha: Harstad 2019-11-04 03:49:32 UTC

Soubor KML  |  InteraktivnĂ­ mapa

Mapa zobrazuje dráhy meteoru. Světlejší čáry ukazují směry od pozorovacích stanic při objevení se meteoru a tmavší čáry, kde byl naposledy viděn. Modrá šipka značí viditelnou dráhu meteoru.

static map
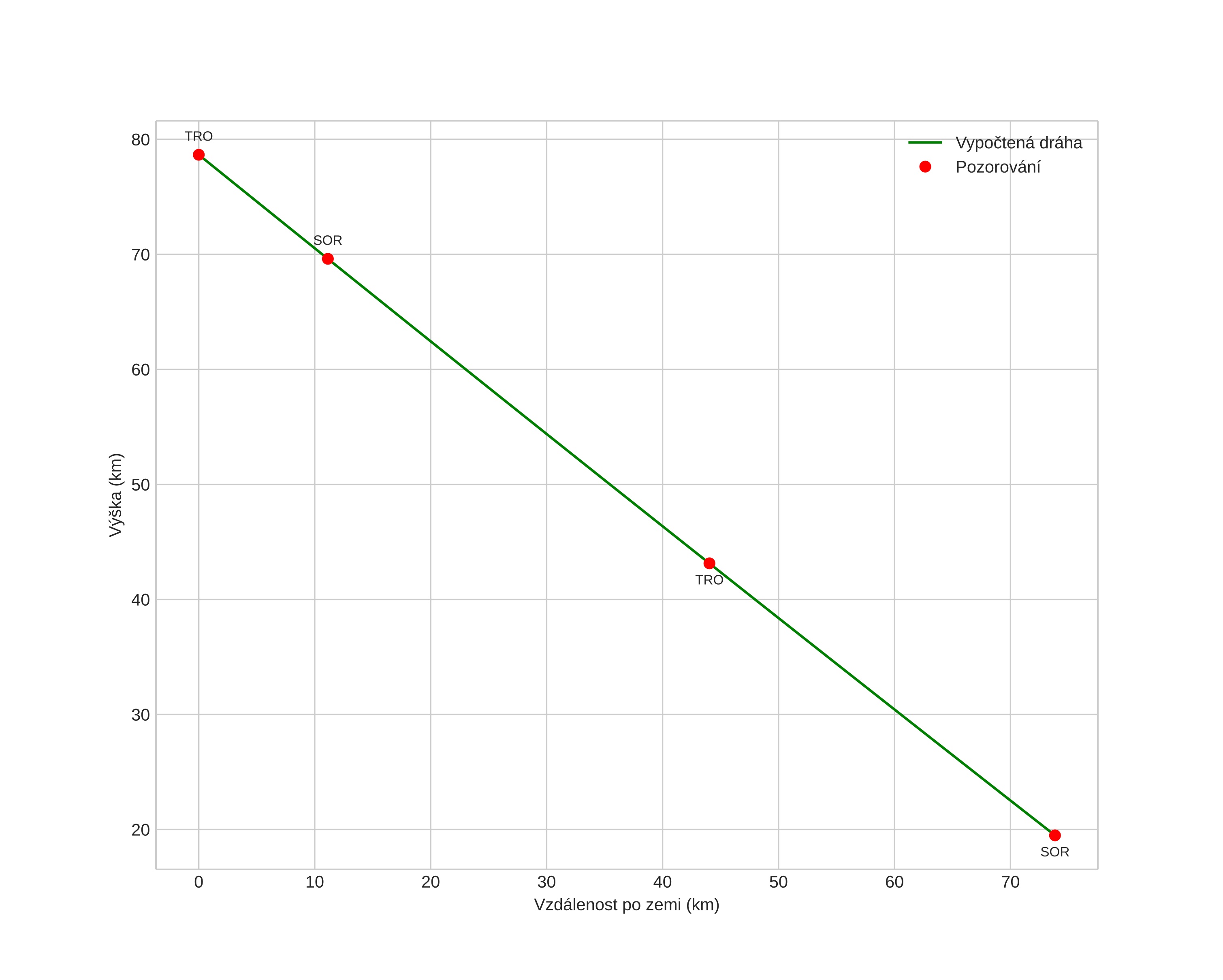
height profile
Atmosférická dráha meteoru:
Počáteční výška: 72,2 km
Konečná výška: 19,5 km
Počáteční poloha: 69,109N 15,255E
Konečná poloha: 68,972N 16,799E
Směr: 103,2°
Sklon: 39,8°
VstupnĂ­ rychlost: 18,2 km/s
Rektascenze radiantu: 01:47 (26,8°)
Deklinace radiantu: 35,3°
MeteorickĂ˝ roj: sporadickĂ˝
Elementy dráhy meteoroidu:
Vzdálenost v periheliu: 0,727 AU
Excentricita: 0,494
Sklon dráhy: 10,3°
Délka vzestupného uzlu: 221,1°
Argument perihelia: 259,0°
Střední anomálie: 330,8°
Epocha: 2019 NOV 04 03:49:32
orbit plot

NeinteraktivnĂ­ graf | InteraktivnĂ­ graf

position vs time
speed and acceleration