🇳🇴 🇬🇧 🇩🇪 🇨🇿 🇫🇮

Meteor Harstadin yllä 2019-11-04 03:49:32 UTC

KML-tiedosto  |  Interaktiivinen kartta

Kartta näyttää meteorin suuntahavainnot. Vaaleammat viivat näyttävät suunnat havaintoasemilta meteorin ilmestyessä, ja tummemmat viivat näyttävät, missä se viimeksi nähtiin. Sininen nuoli näyttää meteorin näkyvän lennon.

static map
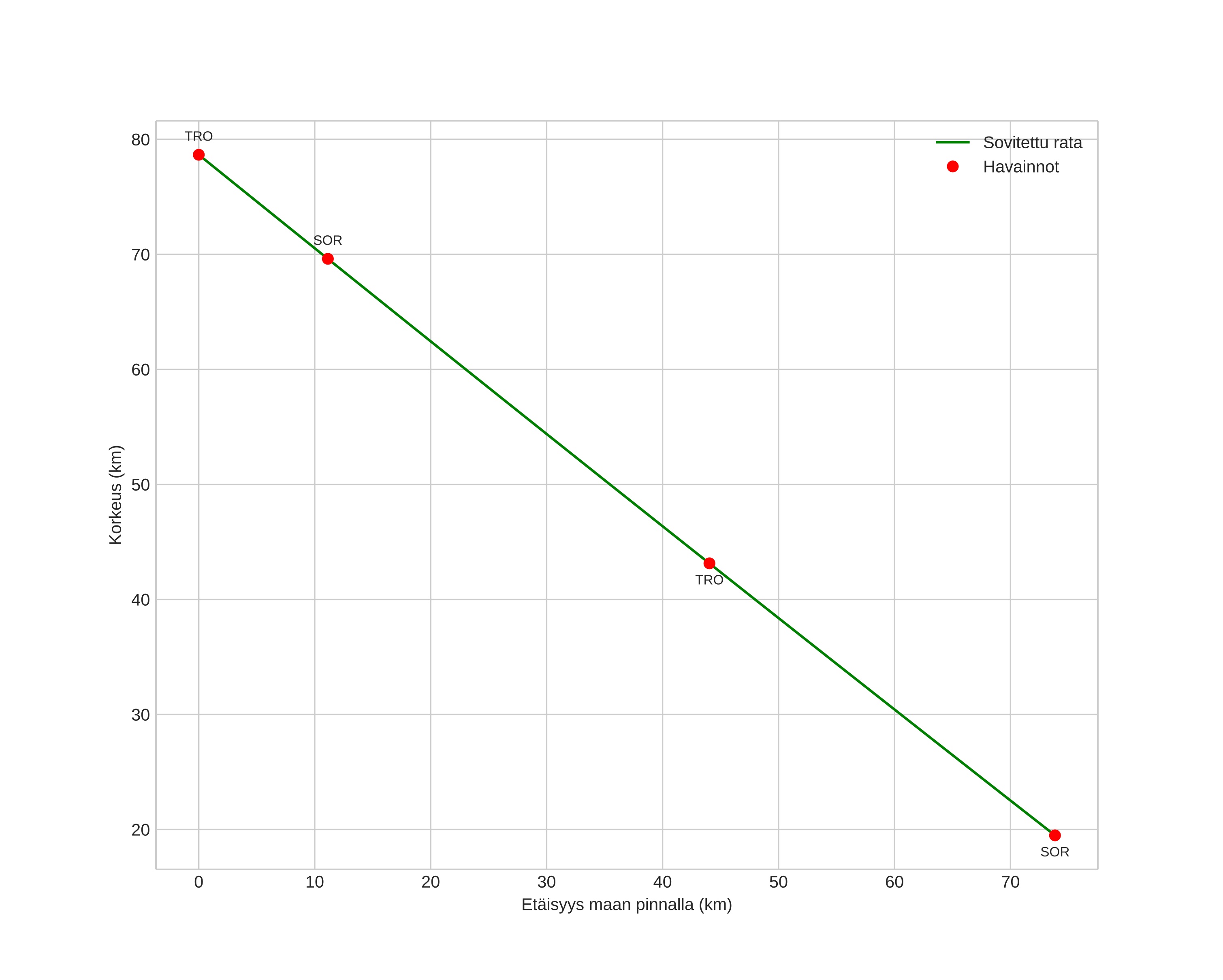
height profile
Meteorin ilmakehärata:
Alkukorkeus: 72,2 km
Loppukorkeus: 19,5 km
Alkupiste: 69,109N 15,255E
Loppupiste: 68,972N 16,799E
Suunta: 103,2°
Kallistuskulma: 39,8°
Tulonopeus: 18,2 km/s
Radiantin R,A,: 01:47 (26,8°)
Radiantin Dekl,: 35,3°
Meteoriparvi: Sporadinen
Meteoroidin rataelementit:
Perihelietäisyys: 0,727 AU
Eksentrisyys: 0,494
Inklinaatio: 10,3°
Nousevan solmun pituus: 221,1°
Perihelin argumentti: 259,0°
Keskianomalia: 330,8°
Epookki: 2019 NOV 04 03:49:32
orbit plot

Ei-interaktiivinen kuvaaja | Interaktiivinen kuvaaja

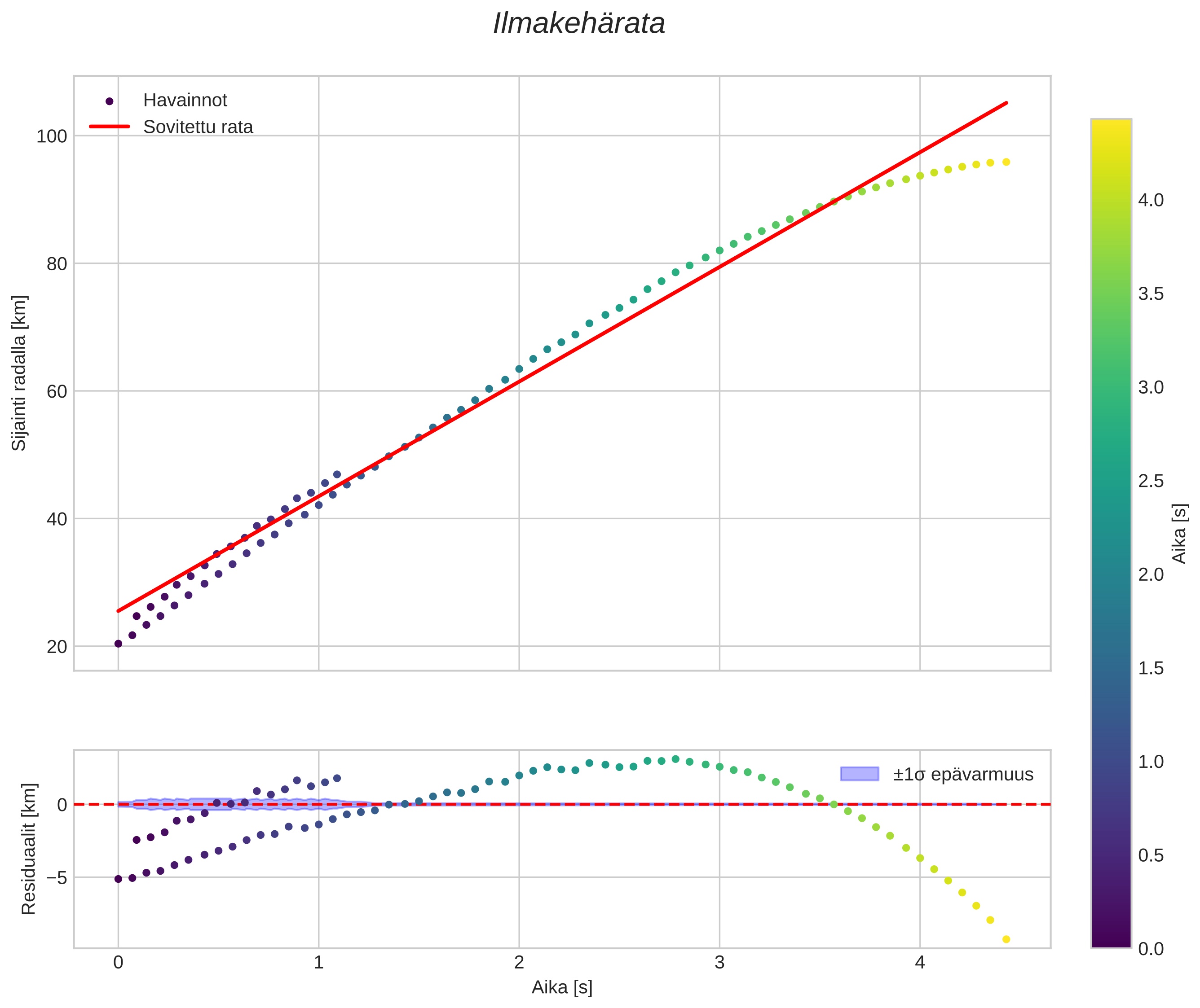
position vs time
speed and acceleration

Trondheim (TRO) cam2


gnomonic
Videot:
• Gnomoninen
• Gnomoninen koordinaateilla
• Alkuperäinen
• Alkuperäinen koordinaateilla
Kuvat:
• Gnomoninen
• Gnomoninen koordinaateilla
• Gnomoninen merkinnöillä
• Alkuperäinen
• Alkuperäinen koordinaateilla
• Alkuperäinen maskilla
Tekstitiedostot:
• Havaintoraportti
• Observaatio
• Koordinaatit
• Virheilmoitukset
• Loki
Kirkkaus