🇳🇴 🇬🇧 🇩🇪 🇨🇿 🇫🇮

Meteor, poloha: Sørreisa 2019-11-04 03:51:06 UTC

Soubor KML  |  InteraktivnĂ­ mapa

Mapa zobrazuje dráhy meteoru. Světlejší čáry ukazují směry od pozorovacích stanic při objevení se meteoru a tmavší čáry, kde byl naposledy viděn. Modrá šipka značí viditelnou dráhu meteoru.

static map
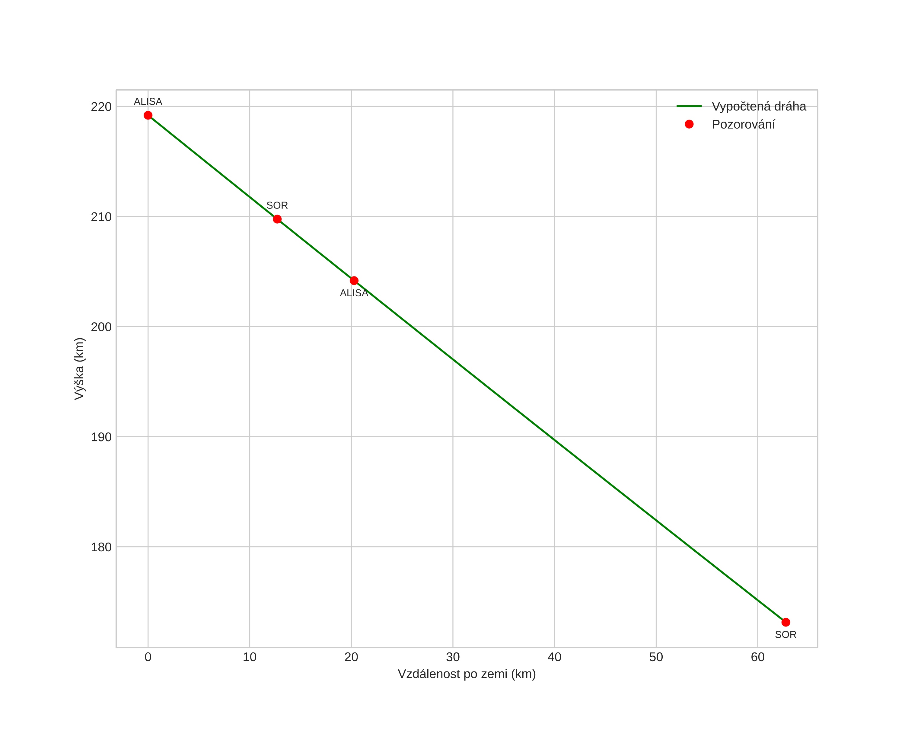
height profile
Atmosférická dráha meteoru:
Počáteční výška: 218,8 km
Konečná výška: 172,7 km
Počáteční poloha: 69,007N 16,724E
Konečná poloha: 69,160N 18,250E
Směr: 73,7°
Sklon: 36,2°
VstupnĂ­ rychlost: 73,0 km/s
Rektascenze radiantu: 03:43 (55,8°)
Deklinace radiantu: 27,6°
MeteorickĂ˝ roj: sporadickĂ˝
Elementy dráhy meteoroidu:
Vzdálenost v periheliu: 0,071 AU
Excentricita: 1,243
Sklon dráhy: 53,7°
Délka vzestupného uzlu: 221,2°
Argument perihelia: 312,5°
Střední anomálie: -130,0°
Epocha: 2019 NOV 04 03:51:06
orbit plot

NeinteraktivnĂ­ graf | InteraktivnĂ­ graf

position vs time
speed and acceleration