🇳🇴 🇬🇧 🇩🇪 🇨🇿 🇫🇮

Meteor Sørreisan yllä 2019-11-04 03:51:06 UTC

KML-tiedosto  |  Interaktiivinen kartta

Kartta näyttää meteorin suuntahavainnot. Vaaleammat viivat näyttävät suunnat havaintoasemilta meteorin ilmestyessä, ja tummemmat viivat näyttävät, missä se viimeksi nähtiin. Sininen nuoli näyttää meteorin näkyvän lennon.

static map
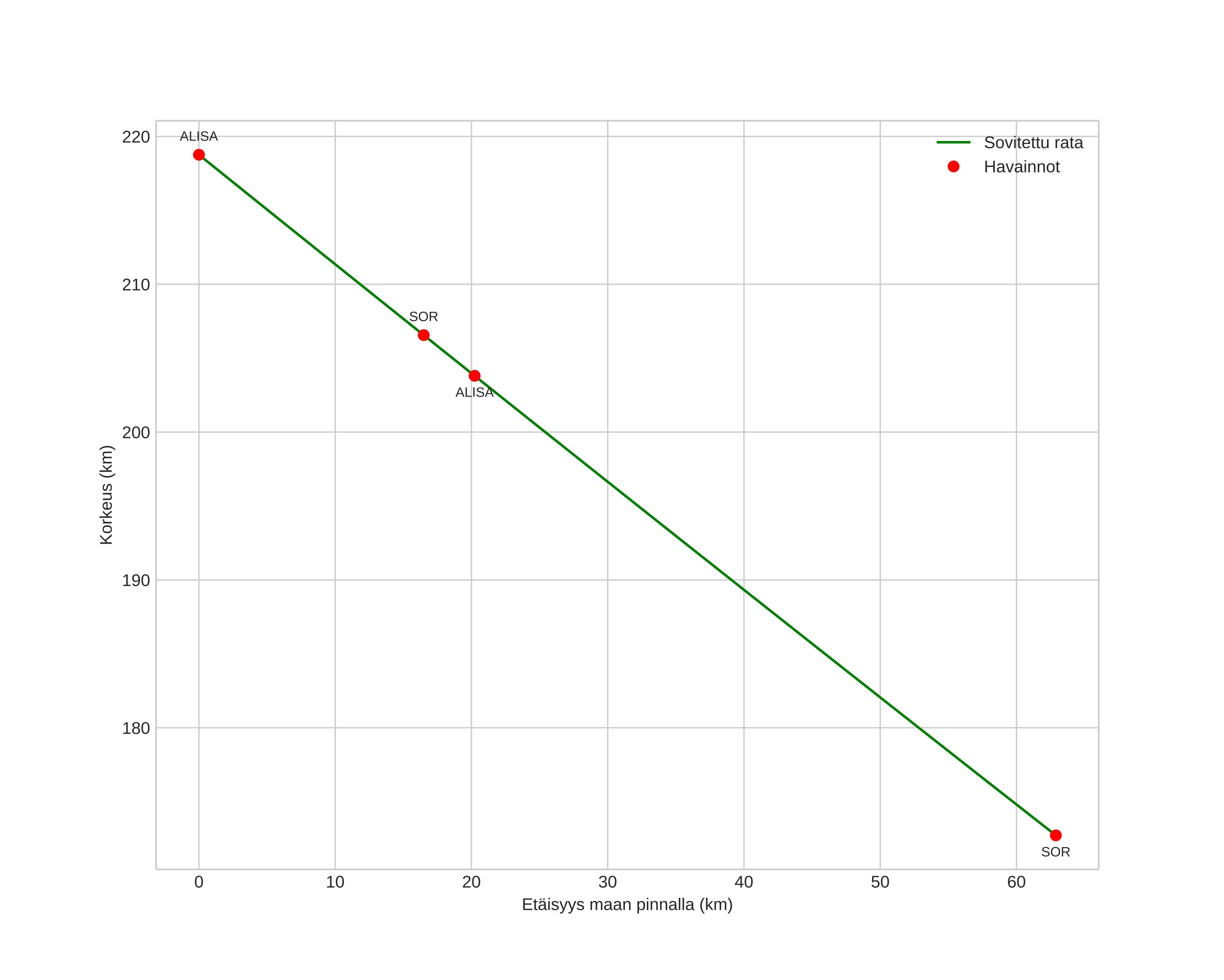
height profile
Meteorin ilmakehärata:
Alkukorkeus: 218,8 km
Loppukorkeus: 172,7 km
Alkupiste: 69,007N 16,724E
Loppupiste: 69,160N 18,250E
Suunta: 73,7°
Kallistuskulma: 36,2°
Tulonopeus: 73,0 km/s
Radiantin R,A,: 03:43 (55,8°)
Radiantin Dekl,: 27,6°
Meteoriparvi: Sporadinen
Meteoroidin rataelementit:
Perihelietäisyys: 0,071 AU
Eksentrisyys: 1,243
Inklinaatio: 53,7°
Nousevan solmun pituus: 221,2°
Perihelin argumentti: 312,5°
Keskianomalia: -130,0°
Epookki: 2019 NOV 04 03:51:06
orbit plot

Ei-interaktiivinen kuvaaja | Interaktiivinen kuvaaja

position vs time
speed and acceleration