🇳🇴 🇬🇧 🇩🇪 🇨🇿 🇫🇮

Meteor, poloha: Tynset 2019-11-06 03:21:34 UTC

Soubor KML  |  Interaktivní mapa

Mapa zobrazuje dráhy meteoru. Světlejší čáry ukazují směry od pozorovacích stanic při objevení se meteoru a tmavší čáry, kde byl naposledy viděn. Modrá šipka značí viditelnou dráhu meteoru.

static map
height profile
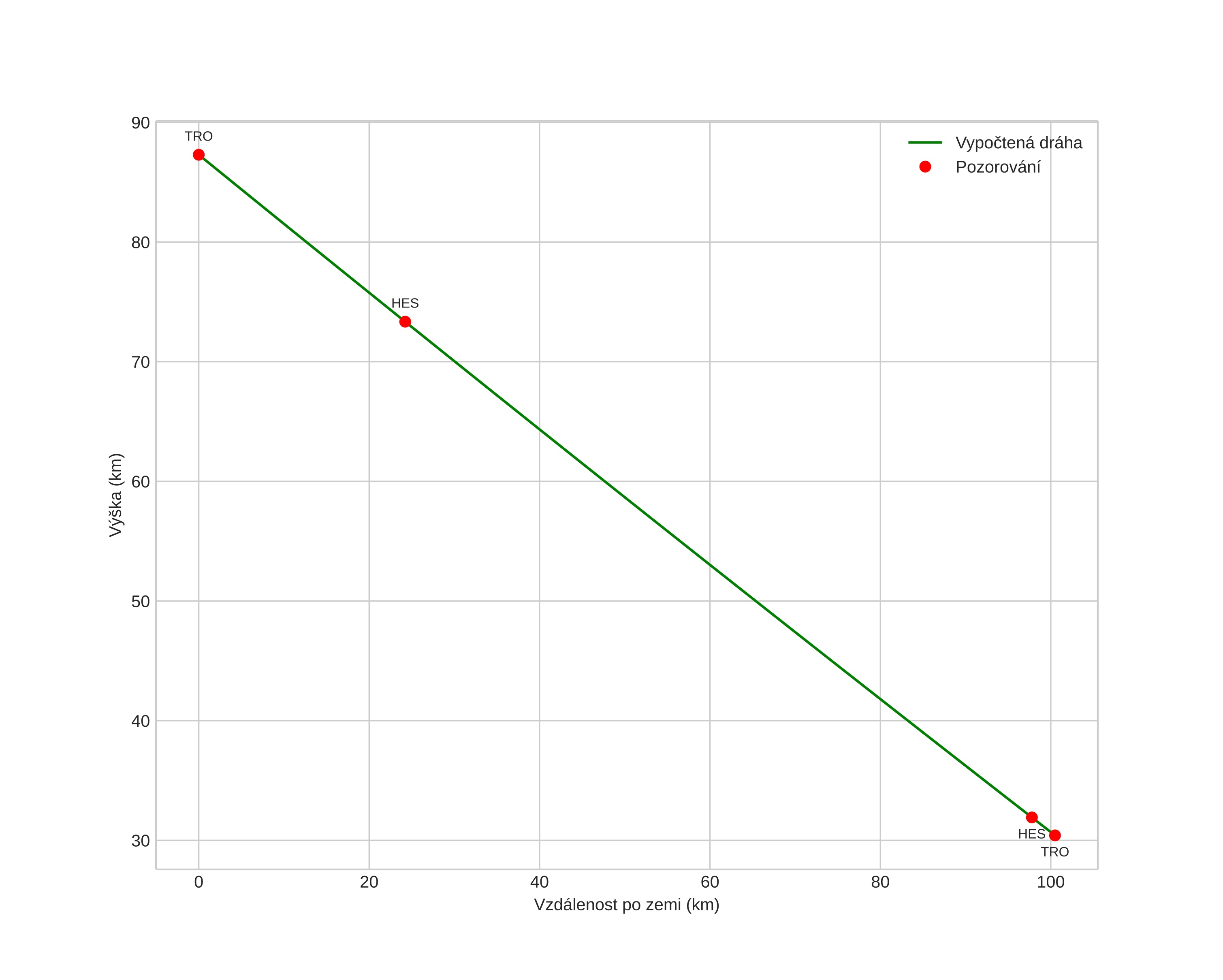
Atmosférická dráha meteoru:
Počáteční výška: 87,0 km
Konečná výška: 33,1 km
Počáteční poloha: 61,942N 9,332E
Konečná poloha: 62,582N 10,589E
Směr: 41,9°
Sklon: 29,2°
Vstupní rychlost: 20,7 km/s
Rektascenze radiantu: 04:25 (66,3°)
Deklinace radiantu: 1,7°
Meteorický roj: sporadický
Elementy dráhy meteoroidu:
Vzdálenost v periheliu: 0,436 AU
Excentricita: 0,543
Sklon dráhy: 13,9°
Délka vzestupného uzlu: 43,2°
Argument perihelia: 126,2°
Střední anomálie: 296,9°
Epocha: 2019 NOV 06 03:21:34
orbit plot

Neinteraktivní graf | Interaktivní graf

position vs time
speed and acceleration