🇳🇴 🇬🇧 🇩🇪 🇨🇿 🇫🇮

Meteor Tynsetin yllä 2019-11-06 03:21:34 UTC

KML-tiedosto  |  Interaktiivinen kartta

Kartta näyttää meteorin suuntahavainnot. Vaaleammat viivat näyttävät suunnat havaintoasemilta meteorin ilmestyessä, ja tummemmat viivat näyttävät, missä se viimeksi nähtiin. Sininen nuoli näyttää meteorin näkyvän lennon.

static map
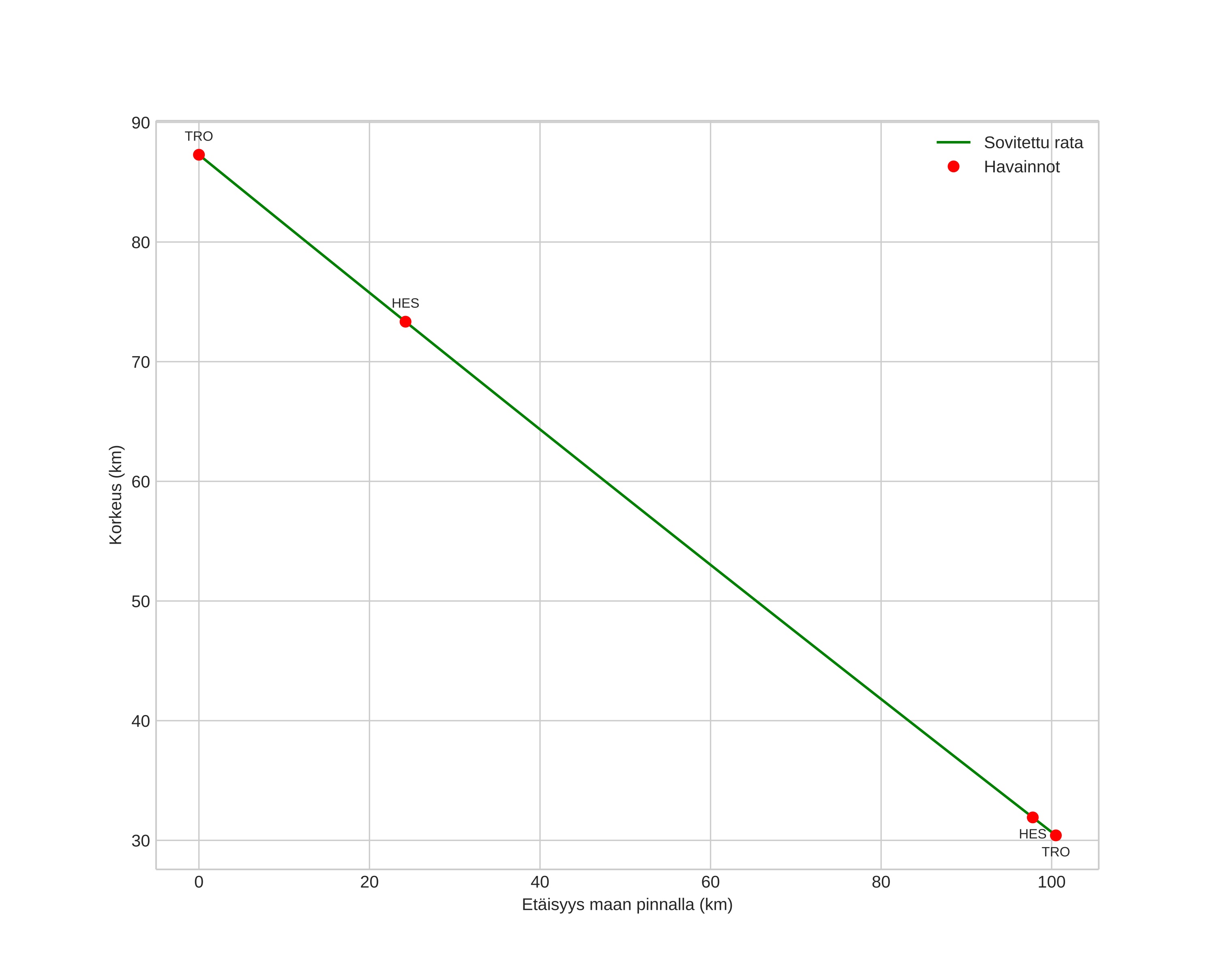
height profile
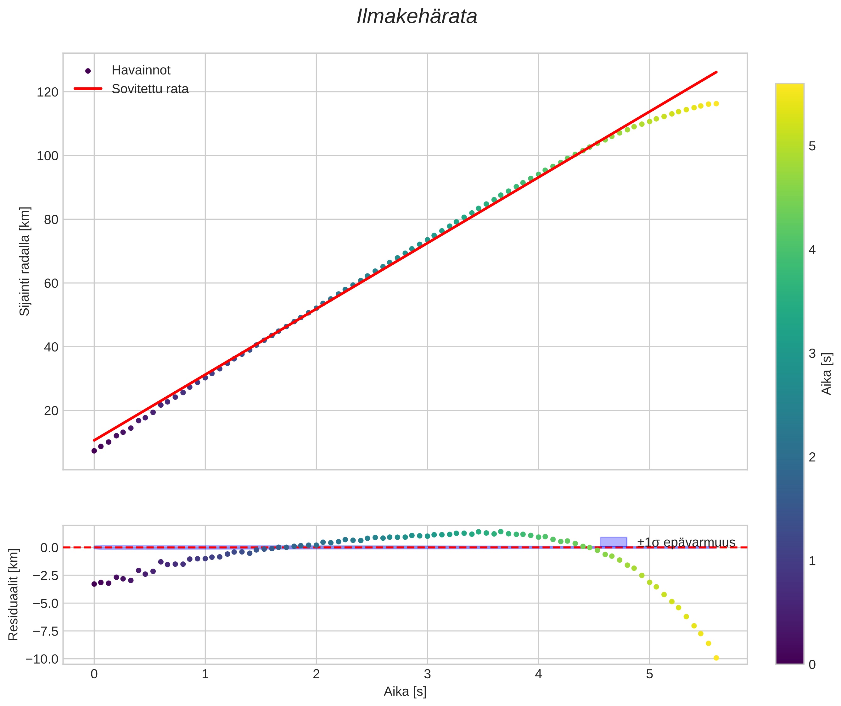
Meteorin ilmakehärata:
Alkukorkeus: 87,0 km
Loppukorkeus: 33,1 km
Alkupiste: 61,942N 9,332E
Loppupiste: 62,582N 10,589E
Suunta: 41,9°
Kallistuskulma: 29,2°
Tulonopeus: 20,7 km/s
Radiantin R,A,: 04:25 (66,3°)
Radiantin Dekl,: 1,7°
Meteoriparvi: Sporadinen
Meteoroidin rataelementit:
Perihelietäisyys: 0,436 AU
Eksentrisyys: 0,543
Inklinaatio: 13,9°
Nousevan solmun pituus: 43,2°
Perihelin argumentti: 126,2°
Keskianomalia: 296,9°
Epookki: 2019 NOV 06 03:21:34
orbit plot

Ei-interaktiivinen kuvaaja | Interaktiivinen kuvaaja

position vs time
speed and acceleration

Trondheim (TRO) cam1


gnomonic
Videot:
• Gnomoninen
• Gnomoninen koordinaateilla
• Alkuperäinen
• Alkuperäinen koordinaateilla
Kuvat:
• Gnomoninen
• Gnomoninen koordinaateilla
• Gnomoninen merkinnöillä
• Alkuperäinen
• Alkuperäinen koordinaateilla
• Alkuperäinen maskilla
Tekstitiedostot:
• Havaintoraportti
• Observaatio
• Koordinaatit
• Virheilmoitukset
• Loki
Kirkkaus