🇳🇴 🇬🇧 🇩🇪 🇨🇿 🇫🇮

Meteor, poloha: Pajala 2019-11-08 03:05:29 UTC

Soubor KML  |  Interaktivní mapa

Mapa zobrazuje dráhy meteoru. Světlejší čáry ukazují směry od pozorovacích stanic při objevení se meteoru a tmavší čáry, kde byl naposledy viděn. Modrá šipka značí viditelnou dráhu meteoru.

static map
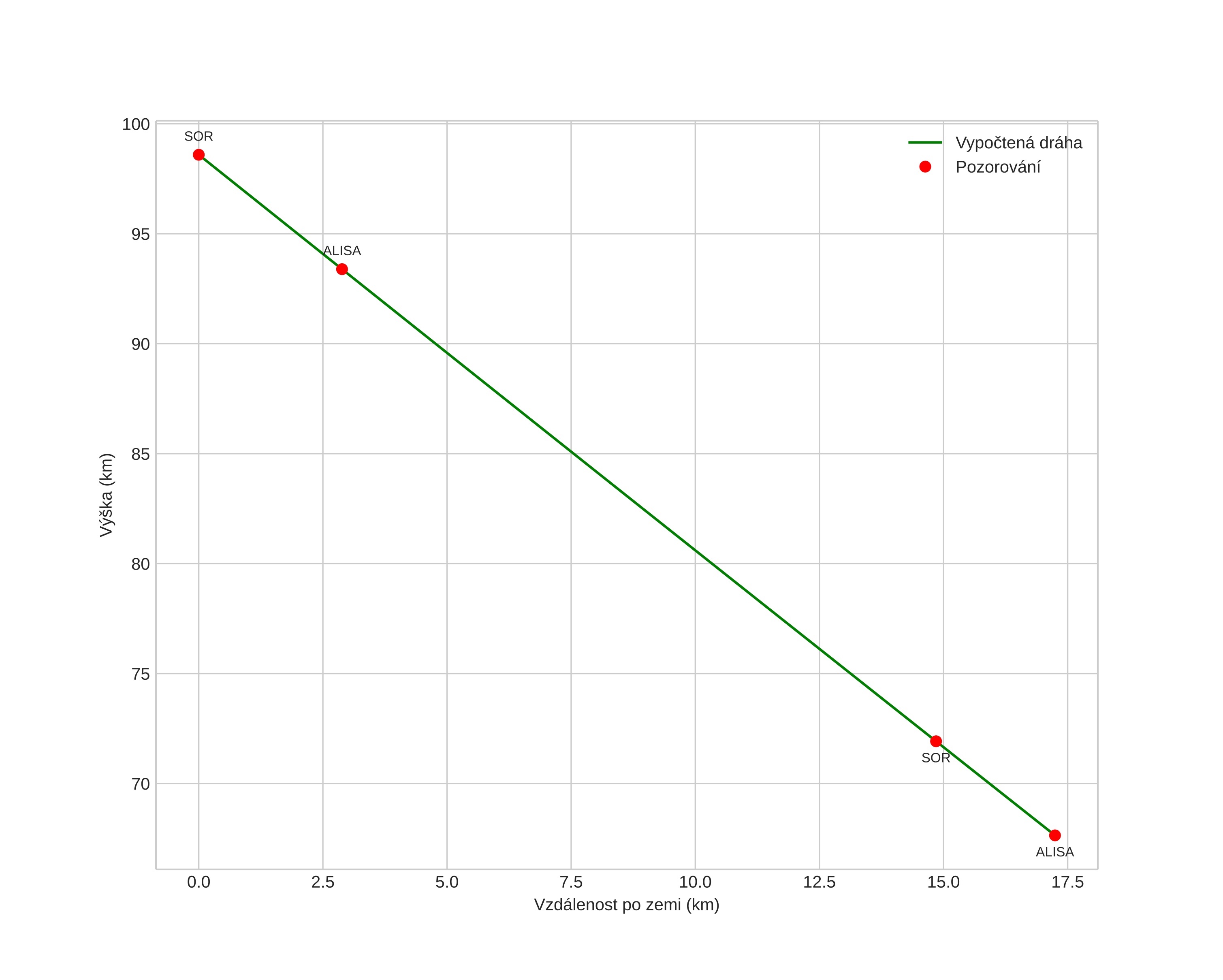
height profile
Atmosférická dráha meteoru:
Počáteční výška: 96,9 km
Konečná výška: 68,8 km
Počáteční poloha: 67,544N 22,965E
Konečná poloha: 67,488N 22,602E
Směr: 248,4°
Sklon: 59,4°
Vstupní rychlost: 43,9 km/s
Rektascenze radiantu: 12:32 (188,2°)
Deklinace radiantu: 60,0°
Meteorický roj: sporadický
Elementy dráhy meteoroidu:
Vzdálenost v periheliu: 0,948 AU
Excentricita: 0,475
Sklon dráhy: 78,9°
Délka vzestupného uzlu: 225,1°
Argument perihelia: 150,0°
Střední anomálie: 9,7°
Epocha: 2019 NOV 08 03:05:29
orbit plot

Neinteraktivní graf | Interaktivní graf

position vs time
speed and acceleration